Bài Tập Chuỗi Phản Ứng - Sắt Và Đồng - TaiLieu.VN

logo Mạng xã hội chia sẻ tài liệu Upload Đăng nhập Nâng cấp VIP Trang chủ » Tài Liệu Phổ Thông » Bài tập cơ bản và nâng cao3 trang 804 lượt xem 2050Bài Tập Chuỗi Phản Ứng - Sắt Và Đồng

Tài liệu "Bài Tập Chuỗi Phản Ứng - Sắt Và Đồng " mang tính chất tham khảo, giúp ích cho các bạn tự học, ôn thi, với phương pháp giải hay, thú vị, rèn luyện kỹ năng giải đề, nâng cao vốn kiến thức, luyện tập cho các bạn trong các kỳ thi sắp tới. Tác giả hy vọng tài liệu này sẽ giúp ích cho các bạn.

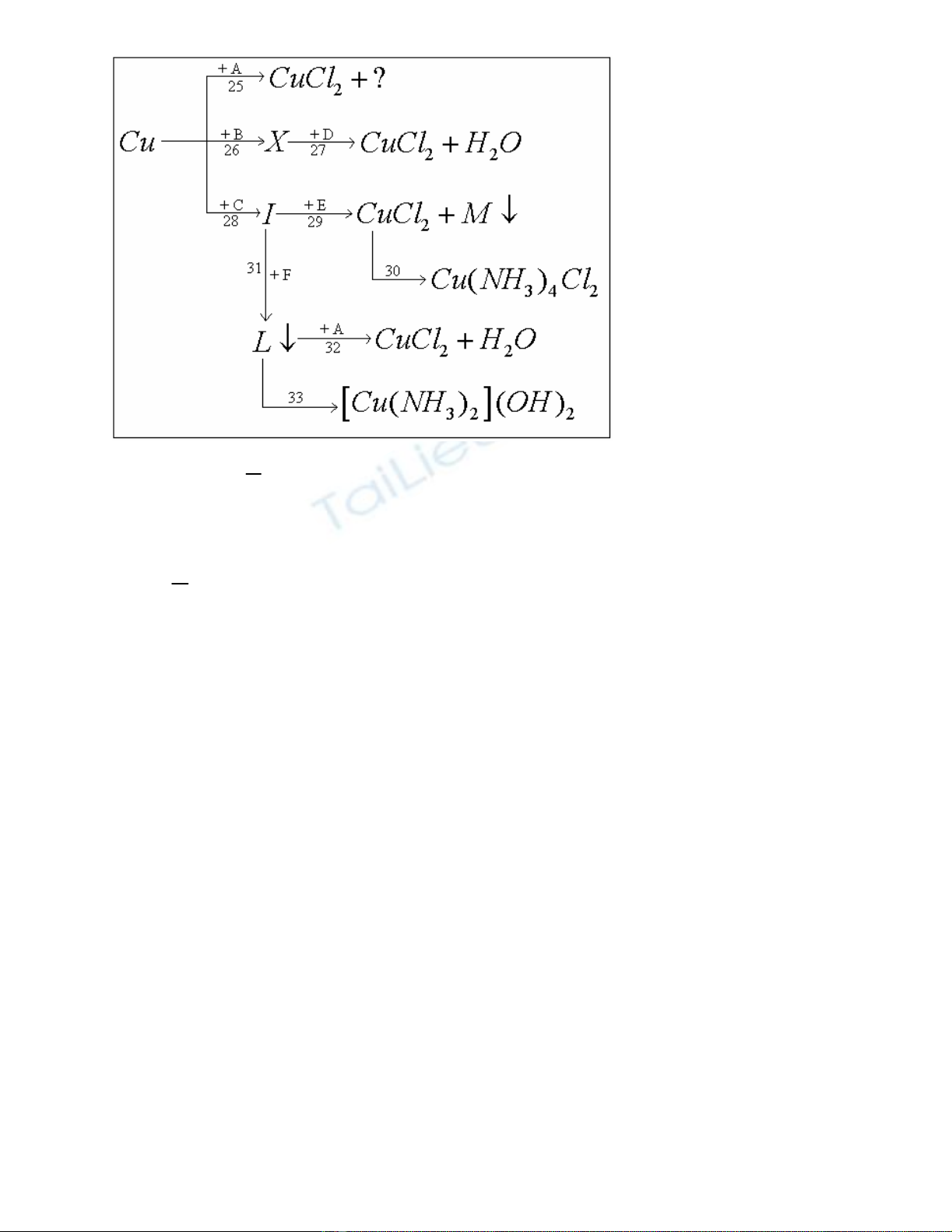
trungtran5SaveLikeShareReport Download AI tóm tắt /3 BÀI TP V SẮT VÀ ĐỒNG1.50023222oCFeOHFeOHOHoc5002322oCFeOCOFeOCO2.22342otFeOOFeO3.2334232otFeOCOFeOCO4.3423otFeOCOFeOCO5.34232824FeOHClFeClFeClHOHoc3424oãng4242344lFeOHSOFeSOFeSOHO6.343323328914FeOHNOFeNONOHO7.2223232.2FeOnHOFeOnHO8.2322323otFeOHFeHOHoc232323otFeOCOFeCOHoc232322otFeOAlFeAlO9.22otFeOHFeHOHoc2otFeOCOFeCOHoc23323otFeOAlFeAlO 10.57022oCFeHOFeOH11.2332623FeOHClFeClHOHoc2324242333FeOHSOFeSOHOHoc233323623FeOHNOFeNOHO12.232323otFeOHFeOHO13.3446634312FeKFeCNFeFeCNK14.32333FeOHHClFeClHO15.333FeOHFeOH16.2223424FeOHOHOFeOH17.22322FeClClFeClHoc33oãng32233432lFeNOHNOFeNONOHOHoc4242422322()2otFeSOHSOdFeSOSOHOHoc4424243244210285()28FeSOKMnOHSOFeSOKSOMnSOHOHoc422724243242423673()7FeSOKCrOHSOFeSOKSOCrSOHO18.32222FeClCuFeClCuClHoc3222222FeClKIFeClKClIHoc322222FeClHSFeClHClS19.22222FeOHHClFeClHO20.222FeOHFeOH21.233662326FeKFeCNFeFeCNK22.2ông ó không khí2otkhcFeOHFeOHO23.222FeOHClFeClHOHoc24oãng42lFeOHSOFeSOHO24.2223241128otFeSOFeOSO 25.222122CuHClOCuClHOHoc22CuHgClCuClHg26.212otCuOCuO27.222CuOHClCuClHO28.244222()otCuHSOdCuSOSOHO29.4242CuSOBaClBaSOCuCl30.233244CuClNHCuNHCl31.42422CuSONaOHCuOHNaSO32.22222CuOHHClCuClHO33.332424CuOHNHCuNHOH

Tài liệu liên quan

Báo cáo hiệu quả ứng dụng nền tảng công nghệ thông tin trong dạy học môn Giáo dục Kinh tế và pháp luật 12, nâng cao năng lực học sinh theo chương trình GDPT 2018

Báo cáo Hiệu quả áp dụng và khả năng nhân rộng của sáng kiến: Ứng dụng một số nền tảng công nghệ thông tin trong tổ chức dạy học môn Giáo dục Kinh tế và pháp luật 12 nhằm nâng cao năng lực cho học sinh đáp ứng mục tiêu chương trình GDPT 2018

14 trang Bộ 4 đề thi trắc nghiệm Hóa đại cương có đáp án, chuẩn nhất

Bộ 4 đề thi trắc nghiệm Hóa đại cương có đáp án

20 trang Ôn thi tốt nghiệp Quản trị nhà hàng - Bar: Nội dung và kinh nghiệm

Nội dung ôn thi tốt nghiệp: Quản trị nhà hàng - Bar

201 trang Đề thi thử Tiếng Anh tốt nghiệp THPT 2025 - THPT Lạng Giang 1, Bắc Giang

Đề thi thử tốt nghiệp THPT môn Tiếng Anh năm 2025 - Trường THPT Lạng Giang 1, Bắc Giang

W 5 trang Sáng kiến kinh nghiệm THPT: Sân khấu hoá dạy học chuyên đề quan hệ quốc tế 1945 – 2000 môn Lịch sử 12 tại trường THCS & THPT Võ Nguyên Giáp

Sáng kiến kinh nghiệm THPT: Sân khấu hoá trong dạy học chuyên đề quan hệ quốc tế 1945 – 2000 môn lịch sử 12 ở trường THCS và THPT Võ Nguyên Giáp

35 trang Đề thi thử Tiếng Anh tốt nghiệp THPT 2023-2024 - Sở GD&ĐT Thanh Hóa

Đề thi thử tốt nghiệp THPT môn Tiếng Anh năm 2023-2024 - Sở GD&ĐT Thanh Hóa

5 trang Kinh nghiệm THPT: Nâng cao hiệu quả ôn thi tốt nghiệp chủ đề Mặt tròn xoay bằng phương pháp dạy học phân hóa

Sáng kiến kinh nghiệm THPT: Nâng cao hiệu quả ôn thi tốt nghiệp chủ đề Mặt tròn xoay bằng phương pháp dạy học phân hóa

W 86 trang Bài giảng Liên quan và điều hòa chuyển hóa [chuẩn SEO]

Bài giảng Liên quan và điều hòa chuyển hóa

19 trang Bài giảng Chuyển hóa Calci, Phosphore và xương chuẩn nhất - BS. Trần Kim Cúc

Bài giảng Chuyển hóa Calci, Phosphore và xương - BS. Trần Kim Cúc

43 trang Bài giảng Chuyển hóa Glucid BS. Nguyễn Trần Minh Thắng: Tổng hợp kiến thức trọng tâm

Bài giảng Chuyển hóa Glucid - BS. Nguyễn Trần Minh Thắng

89 trang Tài liệu ôn thi tốt nghiệp THPT môn Toán năm 2022 [Tuyển chọn]

Tài liệu ôn thi tốt nghiệp THPT năm 2022 môn Toán

32 trang Đề minh họa Sinh học tốt nghiệp THPT 2022 có đáp án (Bộ Giáo dục và Đào tạo)

Đề minh họa tốt nghiệp THPT năm 2022 môn Sinh học có đáp án - Bộ Giáo dục và Đào tạo

11 trang Đề minh họa Ngữ văn thi tốt nghiệp THPT 2022 - Bộ Giáo dục và Đào tạo

Đề minh họa thi tốt nghiệp THPT năm 2022 môn Ngữ văn - Bộ Giáo dục và Đào tạo

1 trang Đề minh họa môn Toán thi tốt nghiệp THPT 2022 của Bộ Giáo dục và Đào tạo

Đề minh họa thi tốt nghiệp THPT năm 2022 môn Toán - Bộ Giáo dục và Đào tạo

5 trang Đề minh họa Tiếng Anh thi tốt nghiệp THPT 2022 - Bộ Giáo dục và Đào tạo

Đề minh họa thi tốt nghiệp THPT năm 2022 môn Tiếng Anh - Bộ Giáo dục và Đào tạo

4 trang Đề minh họa Tiếng Pháp thi tốt nghiệp THPT 2022 - Bộ Giáo dục và Đào tạo

Đề minh họa thi tốt nghiệp THPT năm 2022 môn Tiếng Pháp - Bộ Giáo dục và Đào tạo

5 trang Đề minh họa Tiếng Trung Quốc thi tốt nghiệp THPT 2022 - Bộ Giáo dục và Đào tạo

Đề minh họa thi tốt nghiệp THPT năm 2022 môn Tiếng Trung Quốc - Bộ Giáo dục và Đào tạo

3 trang Đề minh họa Tiếng Hàn thi tốt nghiệp THPT 2022 - Bộ Giáo dục và Đào tạo

Đề minh họa thi tốt nghiệp THPT năm 2022 môn Tiếng Hàn - Bộ Giáo dục và Đào tạo

4 trang Đề minh họa Tiếng Nhật thi tốt nghiệp THPT 2022 - Bộ Giáo dục và Đào tạo

Đề minh họa thi tốt nghiệp THPT năm 2022 môn Tiếng Nhật - Bộ Giáo dục và Đào tạo

5 trang Đề minh họa Tiếng Nga thi tốt nghiệp THPT 2022 - Bộ Giáo dục và Đào tạo

Đề minh họa thi tốt nghiệp THPT năm 2022 môn Tiếng Nga - Bộ Giáo dục và Đào tạo

4 trang

Tài liêu mới

Phiếu Bài Tập Cuối Tuần 35 - Toán Lớp 2- Cánh Diều

Phiếu Bài Tập Cuối Tuần 35 - Toán Lớp 2- Cánh Diều

W 8 trang Tổng hợp bài tập định lý Viète: Tài liệu đầy đủ

Tài liệu Tổng hợp bài tập định lý Viète

W 3 trang Tài liệu tham khảo Tiếng Anh lớp 8 [mới nhất/hay nhất/chuẩn nhất]

Tài liệu tham khảo Tiếng Anh lớp 8

126 trang Đề ôn tập Vật lý lớp 12: Tổng hợp đề thi, bài tập hay nhất

Đề ôn tập Vật lí lớp 12

W 6 trang Cực trị hàm số: Tài liệu chuyên đề chi tiết

Tài liệu chuyên đề: Cực trị hàm số

W 12 trang Câu hỏi trắc nghiệm Toán lớp 11: Ôn tập hiệu quả

Câu hỏi trắc nghiệm ôn tập môn Toán lớp 11

5 trang Tổng hợp lý thuyết Toán lớp 8: Tài liệu đầy đủ, chi tiết

Tài liệu Tổng hợp lý thuyết Toán lớp 8

W 16 trang Bài tập Đại số 7 cơ bản và nâng cao (Tài liệu dành cho giáo viên, phụ huynh)

Tài liệu Bài tập cơ bản và nâng cao Đại số 7 (Dành cho giáo viên, phụ huynh)

400 trang Tài liệu bồi dưỡng học sinh giỏi môn Lịch sử lớp 9 (Sách Kết nối tri thức) mới nhất

Tài liệu bồi dưỡng học sinh giỏi môn Lịch sử lớp 9 (Sách Kết nối tri thức)

W 34 trang Tài liệu Hình học 9 chương 5: Đường tròn - Tự luận có lời giải (Sách Kết nối tri thức với cuộc sống)

Tài liệu Hình học 9 - Chương 5: Đường tròn - Tự luận có lời giải (Sách Kết nối trí thức với cuộc sống)

181 trang Phiếu bài tập cuối tuần Tiếng Việt lớp 1: Tổng hợp tuần 1 đến tuần 5

Phiếu bài tập cuối tuần Tiếng Việt 1 - Tuần 1 đến tuần 5

38 trang Phiếu bài tập cuối tuần Tiếng Việt 1: Đề 4 - Tuần 2

Phiếu bài tập cuối tuần Tiếng Việt 1 - Tuần 2 - Đề 4

4 trang Phiếu bài tập cuối tuần Tiếng Việt 1: Đề 3, Tuần 2 (có đáp án)

Phiếu bài tập cuối tuần Tiếng Việt 1 - Tuần 2 - Đề 3

4 trang Phiếu bài tập cuối tuần Tiếng Việt 1 tuần 2 đề 2: [Hướng dẫn chi tiết]

Phiếu bài tập cuối tuần Tiếng Việt 1 - Tuần 2 - Đề 2

4 trang Phiếu bài tập cuối tuần Tiếng Việt 1: Đề 1 - Tuần 2 (chuẩn nhất)

Phiếu bài tập cuối tuần Tiếng Việt 1 - Tuần 2 - Đề 1

4 trang

AI tóm tắt

- Giúp bạn nắm bắt nội dung tài liệu nhanh chóng!

Giới thiệu tài liệu

Đối tượng sử dụng

Từ khoá chính

Nội dung tóm tắt

Giới thiệu

Về chúng tôi

Việc làm

Quảng cáo

Liên hệ

Chính sách

Thoả thuận sử dụng

Chính sách bảo mật

Chính sách hoàn tiền

DMCA

Hỗ trợ

Hướng dẫn sử dụng

Đăng ký tài khoản VIP

Zalo/Tel:

093 303 0098

Email:

[email protected]

Phương thức thanh toán

Theo dõi chúng tôi

Facebook

Youtube

TikTok

chứng nhậnChịu trách nhiệm nội dung: Nguyễn Công Hà Doanh nghiệp quản lý: Công ty TNHH Tài Liệu trực tuyến Vi Na - GCN ĐKDN: 0307893603 Địa chỉ: 54A Nơ Trang Long, P. Bình Thạnh, TP.HCM - Điện thoại: 0283 5102 888 - Email: [email protected]ấy phép Mạng Xã Hội số: 670/GP-BTTTT cấp ngày 30/11/2015

Từ khóa » Chuỗi Phản ứng Sắt 12