Biết độ Dài Vecto A = 2, độ Dài Vecto B =3, Góc Giữa Hai Vecto Là 120 ...
Có thể bạn quan tâm


Tìm kiếm với hình ảnh
Vui lòng chỉ chọn một câu hỏi
Tìm đáp án
Đăng nhập- |
- Đăng ký


Hoidap247.com Nhanh chóng, chính xác
Hãy đăng nhập hoặc tạo tài khoản miễn phí!
Đăng nhậpĐăng ký

Lưu vào
+
Danh mục mới


- kathynguyenlamp

- Chưa có nhóm
- Trả lời
10
- Điểm
893
- Cảm ơn
4
- Toán Học
- Lớp 10
- 10 điểm
- kathynguyenlamp - 14:47:59 10/03/2020
- Hỏi chi tiết
Báo vi phạm
Hãy luôn nhớ cảm ơn và vote 5* nếu câu trả lời hữu ích nhé!
TRẢ LỜI


- hoa24092001yl

- Chưa có nhóm
- Trả lời
9047
- Điểm
92412
- Cảm ơn
5613
- hoa24092001yl
- 10/03/2020
Đây là một chuyên gia không còn hoạt độngĐây là câu trả lời đã được xác thực
Câu trả lời được xác thực chứa thông tin chính xác và đáng tin cậy, được xác nhận hoặc trả lời bởi các chuyên gia, giáo viên hàng đầu của chúng tôi.
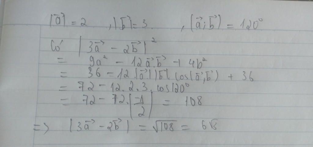
Đáp án:
\(\left| {3\overrightarrow a - 2\overrightarrow b } \right| = 6\sqrt 3 \)
Giải thích các bước giải:
Ta có:
\(\begin{array}{l}A = \left| {3\overrightarrow a - 2\overrightarrow b } \right|\\ \Leftrightarrow {A^2} = {\left( {3\overrightarrow a - 2\overrightarrow b } \right)^2}\\ \Leftrightarrow {A^2} = 9{a^2} - 12\overrightarrow a .\overrightarrow b + 4{b^2}\\ \Leftrightarrow {A^2} = 9{a^2} - 12.\left| a \right|.\left| b \right|.\cos \left( {\overrightarrow a ;\overrightarrow b } \right) + 4{b^2}\\ \Leftrightarrow {A^2} = {9.2^2} - 12.2.3.\cos 120^\circ + {4.3^2}\\ \Leftrightarrow {A^2} = 108\\ \Leftrightarrow A = 6\sqrt 3 \\ \Rightarrow \left| {3\overrightarrow a - 2\overrightarrow b } \right| = 6\sqrt 3 \end{array}\)
Hãy giúp mọi người biết câu trả lời này thế nào?
starstarstarstarstarstarstarstarstarstarstarstarstarstarstarstarstarstarstarstarstarstarstarstarstarstarstarstarstarstar5starstarstarstarstar3 voteGửiHủy
Cảm ơn 1


- nguyenthiminhhue

- Học để làm gì ?
- Trả lời
1569
- Điểm
24639
- Cảm ơn
1146
- nguyenthiminhhue
- 11/08/2020

Đáp án:
Giải thích các bước giải:
Mk gửi ảnh r đó

Hãy giúp mọi người biết câu trả lời này thế nào?
starstarstarstarstarstarstarstarstarstarstarstarstarstarstarstarstarstarstarstarstarstarstarstarstarstarstarstarstarstarstarstarstarstarstarGửiHủy
Cảm ơn
Báo vi phạm
Bạn muốn hỏi điều gì?
PH/HS Tham Gia Nhóm Lớp 10 Để Trao Đổi Tài Liệu, Học Tập Miễn Phí!

Bảng tin
Bạn muốn hỏi điều gì?
Lý do báo cáo vi phạm?
Gửi yêu cầu Hủy

Cơ quan chủ quản: Công ty Cổ phần Công nghệ Giáo dục Thành Phát
Tải ứng dụng


- Hướng dẫn sử dụng
- Điều khoản sử dụng
- Nội quy hoidap247
- Góp ý
Inbox: m.me/hoidap247online
Trụ sở: Tầng 7, Tòa Intracom, số 82 Dịch Vọng Hậu, Cầu Giấy, Hà Nội.
Từ khóa » độ Dài Của Vectơ 3a 2b
-
Biết độ Dài Vecto A = 2, độ Dài Vecto B =3, Góc Giữa Hai ... - DocumenTV
-
Môn Toán Lớp 10 Biết độ Dài Vecto A = 2, độ Dài Vecto B =3, Góc ...
-
Biết độ Dài Vecto A... - - Hội Sinh Năm 2005
-
Cách Tính độ Dài Vecto
-
Trong Không Gian Oxyz, Cho Hai Véc Tơ A Và Vec Tơ B Tạo Với Nhau ...
-
Cách Tính độ Dài Vecto, Khoảng Cách Giữa Hai điểm Trong Hệ Tọa độ ...
-
Trong Không Gian Oxyz, Cho Hai Vectơ →a, →b Thỏa |→a|=2√3, |→b
-
Cho Vecto A Có độ Dài Bằng 3cm, Tính độ Dài Vecto -3a A.3cm B.9cm C.
-
Trong Không Gian Với Hệ Tọa độ Oxyz , Cho Hai Vecto A Và Vecto B ...
-
Cho độ Dài Vecto A Bằng độ Dài Vecto B, độ Dài 2vecto A Trừ ... - Hoc24
-
Chương 2: TÍCH VÔ HƯỚNG CỦA HAI VECTƠ VÀ ỨNG DỤNG
-
Trong Không Gian Với Hệ Tọa độ (Oxyz ), Cho Hai Vectơ ( Overrig
-
Sách Giải Bài Tập Toán Lớp 10 Bài 3: Tích Của Vectơ Với Một Số
-
Tìm Hiểu Cách Tính độ Dài Vectơ, Khoảng Cách Giữa Hai điểm Trong ...