Biết độ Dài Vecto A = 2, độ Dài Vecto B =3, Góc Giữa Hai ... - DocumenTV
Có thể bạn quan tâm
Register Now
Username*
E-Mail*
Password*
Confirm Password*
Captcha* Giải phương trình 1 ẩn: x + 2 - 2(x + 1) = -x . Hỏi x = ? ( )
Terms* By registering, you agree to the Terms of Service and Privacy Policy.
Login
Forget
Captcha* Giải phương trình 1 ẩn: x + 2 - 2(x + 1) = -x . Hỏi x = ? ( )
Remember MeLost Password
Lost your password? Please enter your email address. You will receive a link and will create a new password via email.
E-Mail*
Captcha* Giải phương trình 1 ẩn: x + 2 - 2(x + 1) = -x . Hỏi x = ? ( )
xLogin
Forget
Captcha* Giải phương trình 1 ẩn: x + 2 - 2(x + 1) = -x . Hỏi x = ? ( )
Remember MeRegister Now
Lorem ipsum dolor sit amet, consectetur adipiscing elit.Morbi adipiscing gravdio, sit amet suscipit risus ultrices eu.Fusce viverra neque at purus laoreet consequa.Vivamus vulputate posuere nisl quis consequat.
Create an account x You can use WP menu builder to build menus Ask a Question Biết độ dài vecto a = 2, độ dài vecto b =3, góc giữa hai vecto là 120 độ. Tính giá trị của độ dài vecto (3a-2b) Home/ Môn Học/Tổng hợp/Biết độ dài vecto a = 2, độ dài vecto b =3, góc giữa hai vecto là 120 độ. Tính giá trị của độ dài vecto (3a-2b)Biết độ dài vecto a = 2, độ dài vecto b =3, góc giữa hai vecto là 120 độ. Tính giá trị của độ dài vecto (3a-2b)
QuestionBiết độ dài vecto a = 2, độ dài vecto b =3, góc giữa hai vecto là 120 độ. Tính giá trị của độ dài vecto (3a-2b)
in progress 0 Tổng hợp niczorrrr 5 years 2021-04-26T01:03:26+00:00 2021-04-26T01:03:26+00:00 3 Answers 420 views 0- Tumblr
Answers ( )
-
ngocdiep 1 2021-04-26T01:05:19+00:00 April 26, 2021 at 1:05 am Reply Đáp án:
Giải thích các bước giải:
Mk gửi ảnh r đó

-
Dulcie 0 2021-04-26T01:05:20+00:00 April 26, 2021 at 1:05 am Reply Đáp án:
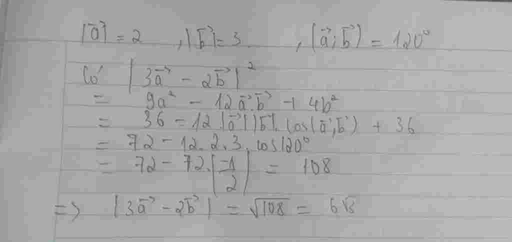
\(\left| {3\overrightarrow a – 2\overrightarrow b } \right| = 6\sqrt 3 \)
Giải thích các bước giải:
Ta có:
\(\begin{array}{l}A = \left| {3\overrightarrow a – 2\overrightarrow b } \right|\\ \Leftrightarrow {A^2} = {\left( {3\overrightarrow a – 2\overrightarrow b } \right)^2}\\ \Leftrightarrow {A^2} = 9{a^2} – 12\overrightarrow a .\overrightarrow b + 4{b^2}\\ \Leftrightarrow {A^2} = 9{a^2} – 12.\left| a \right|.\left| b \right|.\cos \left( {\overrightarrow a ;\overrightarrow b } \right) + 4{b^2}\\ \Leftrightarrow {A^2} = {9.2^2} – 12.2.3.\cos 120^\circ + {4.3^2}\\ \Leftrightarrow {A^2} = 108\\ \Leftrightarrow A = 6\sqrt 3 \\ \Rightarrow \left| {3\overrightarrow a – 2\overrightarrow b } \right| = 6\sqrt 3 \end{array}\)
-
vankhanh 0 2021-04-26T01:05:30+00:00 April 26, 2021 at 1:05 am Reply Để tìm câu trả lời chính xác các em hãy tham khảo độ dài vecto các nguồn hoc24.vn, lazi.vn, hoidap247.com để thầy cô và các chuyên gia hỗ trợ các em nhé!
Leave an answer
Name*
E-Mail*
Website
Featured image Select file BrowseCaptcha* Giải phương trình 1 ẩn: x + 2 - 2(x + 1) = -x . Hỏi x = ? ( )
Answer*
Click here to cancel reply. niczorrrrAbout niczorrrr
Ask questionTừ khóa » độ Dài Của Vectơ 3a 2b
-
Biết độ Dài Vecto A = 2, độ Dài Vecto B =3, Góc Giữa Hai Vecto Là 120 ...
-
Môn Toán Lớp 10 Biết độ Dài Vecto A = 2, độ Dài Vecto B =3, Góc ...
-
Biết độ Dài Vecto A... - - Hội Sinh Năm 2005
-
Cách Tính độ Dài Vecto
-
Trong Không Gian Oxyz, Cho Hai Véc Tơ A Và Vec Tơ B Tạo Với Nhau ...
-
Cách Tính độ Dài Vecto, Khoảng Cách Giữa Hai điểm Trong Hệ Tọa độ ...
-
Trong Không Gian Oxyz, Cho Hai Vectơ →a, →b Thỏa |→a|=2√3, |→b
-
Cho Vecto A Có độ Dài Bằng 3cm, Tính độ Dài Vecto -3a A.3cm B.9cm C.
-
Trong Không Gian Với Hệ Tọa độ Oxyz , Cho Hai Vecto A Và Vecto B ...
-
Cho độ Dài Vecto A Bằng độ Dài Vecto B, độ Dài 2vecto A Trừ ... - Hoc24
-
Chương 2: TÍCH VÔ HƯỚNG CỦA HAI VECTƠ VÀ ỨNG DỤNG
-
Trong Không Gian Với Hệ Tọa độ (Oxyz ), Cho Hai Vectơ ( Overrig
-
Sách Giải Bài Tập Toán Lớp 10 Bài 3: Tích Của Vectơ Với Một Số
-
Tìm Hiểu Cách Tính độ Dài Vectơ, Khoảng Cách Giữa Hai điểm Trong ...