Cho Số Phức Z Thỏa Mãn Z^2 - 6z + 13 = 0.Tính
Có thể bạn quan tâm
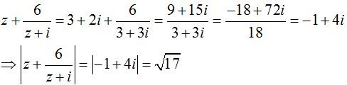
Cho số phức z thỏa mãn z2 - 6z + 13 = 0. Tính z+6z+i
A. 17 và 4
B. 17 và 5
C. 17 và 3
D. 17 và 2
Quảng cáo
1 câu trả lời 577
Chọn B.
Theo giả thiết ta có : z2 - 6z + 13 = 0 nên ( z - 3) 2 + 4 = 0 hay z = 3 ± 2i
+) Nếu z = 3 + 2i:
+) Nếu z = 3 - 2i:
Quảng cáo
Bạn hỏi - Chuyên gia trả lời
Bạn cần hỏi gì?
Gửi câu hỏiCâu hỏi hot cùng chủ đề
-
Đã trả lời bởi chuyên gia Gọi z1; z2 là hai nghiệm phức của phương trình z2-4z+5=0. Giá trị của biểu thức z1-12019+z2-12019 bằng
A. 21009
B. 21010
C. 0
D. -21010
Trả lời (2) Xem đáp án » 28558 -
Đã trả lời bởi chuyên gia Có bao nhiêu số phức z thỏa mãn |z| = |z + z¯| = 1?
A. 0
B. 1
C. 4
D. 3
Trả lời (2) Xem đáp án » 23807 -
Đã trả lời bởi chuyên gia Tìm m để y=x3-3x2+mx-1 có hai điểm cực trị tại x1, x2 thỏa mãn x12+ x22=3
A. m=32
B. m=1
C. m=-2
D. m=12
Trả lời (1) Xem đáp án » 12853 -
Đã trả lời bởi chuyên gia Cho số phức z thỏa mãn (3 + 2i)z + (2 - i)2 = 4 + i. Môđun của số phức w = (z + 1)z là
A. 2
B. 4
C. 10
D. 10
Trả lời (1) Xem đáp án » 12141 -
Đã trả lời bởi chuyên gia Giải các phương trình sau: 6.4x-13.6x+6.9x=0
Từ khóa » Cho Số Phức Z Thỏa Mãn Z^2-6z+13=0
-
Cho Số Phức Z Thỏa Mãn Z^2 - 6z + 13 = 0.Tính |z+6/ Z+i - Khóa Học
-
Cho Số Phức Z Thỏa Mãn Z^2 - 6z + 13 = 0 . Giá Trị Của |z + 6/ Z+i | Là
-
[LỜI GIẢI] Cho Số Phức Z Thỏa Mãn Z2 – 6z + 13 =0. Tính - Tự Học 365
-
Cho Số Phức Z Thỏa Mãn Phương Trình Z^2-6z+13=0. Tính |z+6/(z+i)
-
Cho Số Phức Z Thỏa Mãn Z^2 - 6z + 13 = 0.Tính |z+6 - Vietjack.online
-
Cho Số Phức Z Thỏa Mãn Z^2 - 6z + 13 = 0.Tính |z+6/ Z+i
-
Cho Số Phức Z Thỏa Mãn Z^2 - 6z + 13 = 0 . Giá Trị Của |z + 6/ Z+i | Là...
-
Cho Số Phức Z Thỏa Mãn \(z^{2}-6 Z+13=0 . \text { Tính
-
Cho Số Phức Z Thỏa Mãn Z^2 - 6z + 13 = 0. Giá Trị Của...
-
Cho Số Phức Z Thỏa Mãn ${{z}^{2}}-6z+13=0.$ Giá Trị Của $\left
-
Cho Số Phức Z Thỏa Mãn Z^2 - 6z + 13 = 0.Tính |z+6
-
Gọi \({{z}_{0}}\) Là Nghiệm Phức Có Phần ảo Dương Của Phương Trình ...