Giải Bài Tập Hóa 12 Nâng Cao Bài 5 - Glucozơ
Có thể bạn quan tâm
-
-
-
Mầm non
-
Lớp 1
-
Lớp 2
-
Lớp 3
-
Lớp 4
-
Lớp 5
-
Lớp 6
-
Lớp 7
-
Lớp 8
-
Lớp 9
-
Lớp 10
-
Lớp 11
-
Lớp 12
-
Thi vào lớp 6
-
Thi vào lớp 10
-
Thi Tốt Nghiệp THPT
-
Đánh Giá Năng Lực
-
Khóa Học Trực Tuyến
-
Hỏi bài
-
Trắc nghiệm Online
-
Tiếng Anh
-
Thư viện Học liệu
-
Bài tập Cuối tuần
-
Bài tập Hàng ngày
-
Thư viện Đề thi
-
Giáo án - Bài giảng
-
Tất cả danh mục
-
- Mầm non
- Lớp 1
- Lớp 2
- Lớp 3
- Lớp 4
- Lớp 5
- Lớp 6
- Lớp 7
- Lớp 8
- Lớp 9
- Lớp 10
- Lớp 11
- Lớp 12
- Thi Chuyển Cấp
-
- Hôm nay +3
- Ngày 2 +3
- Ngày 3 +3
- Ngày 4 +3
- Ngày 5 +3
- Ngày 6 +3
- Ngày 7 +5
Nâng cấp gói Pro để trải nghiệm website VnDoc.com KHÔNG quảng cáo, và tải file cực nhanh không chờ đợi.
Tìm hiểu thêm » Mua ngay Từ 79.000đ Hỗ trợ ZaloHóa học 12 - Glucozơ
VnDoc xin giới thiệu tới bạn đọc tài liệu Giải bài tập Hóa 12 nâng cao bài 5, tài liệu gồm 8 bài tập trang 32, 33 SGK kèm theo lời giải chi tiết sẽ giúp các bạn học sinh học môn Hóa học được tốt hơn. Mời các bạn học sinh tham khảo.
Giải bài tập Hóa 12 nâng cao bài 1
Giải bài tập Hóa 12 nâng cao bài 2
Giải bài tập Hóa 12 nâng cao bài 3
Giải bài tập Hóa 12 nâng cao bài 4
Giải bài tập Hóa 12 nâng cao
Bài 1 (trang 32 sgk Hóa 12 nâng cao): Phát biểu nào sau đây không đúng?
A. Glucozơ và fructozơ là đồng phân cấu tạo của nhau
B. Có thể phân biệt glucozơ và fructozơ bằng phản ứng tráng bạc
C. Trong dung dịch, glucozơ tồn tại ở dạng mạch vòng ưu tiên hơn dạng mạch hở
D. Metyl α-glucozit không thể chuyển sang dạng mạch hở
Lời giải:
Đáp án B
Bài 2 (trang 32 sgk Hóa 12 nâng cao): Cho các dung dịch: glucozo, glixerol, axit axetic, etanol. Thuốc thử nào sau đây để nhận biết được các dung dịch trên?
A. Cu(OH)2 trong môi trường kiềm
B. [Ag(NH3)2]OH
C. Na kim loại
D. Nước brom
Lời giải:
Đáp án A
Bài 3 (trang 32 sgk Hóa 12 nâng cao): a) Cacbohidrat là gì? Có mấy loại cacbohidrat quan trọng? b) Nêu định nghĩa từng loại cacbohidrat và lấy thí dụ minh họa?
Lời giải:
Cacbonhiđrat là những hợp chất hữu cơ tạp chức thường có công thức chung là Cn(H2O)m
Có ba loại cacbohiđrat:
Monosaccarit: Là nhóm cacbohiđrat đơn giản nhất không thể thủy phân được. Thí dụ: glucozơ, fructozơ
Đisaccarit: Là nhóm cacbohiđrat mà khi thủy phân sinh ra 2 phân tử monosaccarit. Thí dụ: saccarozơ, mantozơ
Polisaccarit: Là nhóm cacbohiđrat phức tạp mà khi thủy phân đến cùng sinh ra nhiều phân tử monosaccarit. Thí dụ: tinh bột, xenlulozơ
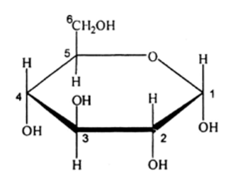
Bài 4 (trang 32 sgk Hóa 12 nâng cao): a) Hãy viết công thức dạng mạch hở của glucozo và nhận xét về các nhóm chức của nó(tên nhóm chức, số lượng, bậc nếu có). Những thí nghiệm nào chứng minh được cấu tạo dạng mạch hở của glucozo?
b) Hãy viết công thức dạng mạch vòng của glucozo và nhận xét về các nhóm chức của nó (tên nhóm chức, số lượng, bậc và vị trí tương đối trong không gian). Những thí nghiệm nào chứng minh được glucozo tồn tại ở dạng mạch vòng?
c)trong dung dịch, glucozo tồn tại ở những dạng nào (viết công thức và gọi tên?
Lời giải:
Công thức dạng mạch hở của glucozo
CH2OH-CHOH-CHOH-CHOH-CHOH-CH=O
Công thức dạng mạch vòng của glucozo
Bài 5 (trang 33 sgk Hóa 12 nâng cao): Hãy viết phương trình hóa học của các phản ứng sau (nếu có):
a.Glucozơ tác dụng với nước brom
b.Fructozơ + H2 → (Ni,to)
c. Fructozơ + [Ag(NH3)2]OH →
d. Glucozơ + [Ag(NH3)2]OH →
Lời giải:
a. CH2OH-(CHOH)4-CHO + Br2 + H2O → CH2OH – (CHOH)4-COOH + 2HBr
b. Fructozơ tác dụng với H2, xúc tác Ni

c. Fructozơ không tác dụng với [Ag(NH3)2]OH
d. Glucozơ tác dụng với [Ag(NH3)2]OH

Bài 6 (trang 33 sgk Hóa 12 nâng cao): Cho 200 ml dung dịch glucozo phản ứng hoàn toàn với dung dịch AgNO3 trong NH3 thu được 10,8 gam bạc. Tính nồng độ mol của glucozo đã dùng
Lời giải:
nAg = 10,8 : 108 = 0,1 mol

Theo phương trình: nglucozơ = 1/2nAg = 0,05 mol
→CMglucozo = 0,05 : 0,2 = 0,25 M
Bài 7 (trang 33 sgk Hóa 12 nâng cao): Đun nóng dung dịch chứa 18 gam glucozo với một lượng vừa đủ AgNO3 trong NH3 thấy Ag tách ra. Tính lượng Ag thu được và khối lượng AgNO3 cần dùng, biết rằng các phản ứng xảy ra hoàn toàn
Lời giải:
Phương trình phản ứng:
AgNO3 + 3NH3 + H2O → [Ag(NH3)2]OH + NH4NO3

Số mol glucozo nC6H12O6 = 18 : 180 = 0,1 mol
nAg = 2
\(n_{C_6H_{12}O_6}\) = 0,2 mol =
\(n_{AgNO_3}\)
khối lượng bạc thu được mAg = 0,2.108 = 21,6 (g)
khối lượng bạc nitrat cần dùng
\(m_{AgNO_3}\) = 0,2.170 = 34 (g)
Bài 8 (trang 33 sgk Hóa học 12 nâng cao): Cho lên men 1m3 rỉ đường, sau đó chưng cất thu được 60 lít cồn 96o. Tính khối lượng glucozo có trong 1m3 nước rỉ đường glucozo trên, biết rằng khối lượng riêng của ancol etylic bằng 0,789 g/ml ở 20oC và hiệu suất của quá trình lên men đạt 80%
Lời giải:
Phản ứng lên men: C6H12O6 lên men→ 2C2H5OH + 2CO2 (1)
Thể tích C2H5OH trong cồn 96o là 96:100.60 = 57,6 (lít)
\(D_{C_2H_5OH}\) = 0,789 (g/ml) = 0,789 kg/lít
Vậy khối lượng etanol nguyên chất là m = 57,6.0,789 (kg)
Theo (1) cứ 180 (g) glucozo → 2.46 (g) etanol
86,92 kg <- 57,6.0,789 (kg) etanol
Do H = 80% → khối lượng glucozo có trong 1m3 nước rỉ đường là:
86,92.100:80 = 108,7 (kg)
----------------------------------
Trên đây VnDoc.com đã giới thiệu tới bạn đọc tài liệu: Giải bài tập Hóa 12 nâng cao bài 5. Để có kết quả cao hơn trong học tập, VnDoc xin giới thiệu tới các bạn học sinh tài liệu Giải bài tập Toán lớp 12, Giải bài tập Hóa học lớp 12, Giải bài tập Vật Lí 12 mà VnDoc tổng hợp và đăng tải.
Tải về Chọn file muốn tải về:Giải bài tập Hóa 12 nâng cao bài 5
166,8 KB-
Giải bài tập Hóa 12 nâng cao bài 5 .DOC
166 KB
- Chia sẻ bởi:
Phan Thị Hoàn
Có thể bạn quan tâm
Xác thực tài khoản!Theo Nghị định 147/2024/ND-CP, bạn cần xác thực tài khoản trước khi sử dụng tính năng này. Chúng tôi sẽ gửi mã xác thực qua SMS hoặc Zalo tới số điện thoại mà bạn nhập dưới đây:
Số điện thoại chưa đúng định dạng! Xác thực ngay Số điện thoại này đã được xác thực! Bạn có thể dùng Sđt này đăng nhập tại đây! Lỗi gửi SMS, liên hệ Admin Sắp xếp theo Mặc định Mới nhất Cũ nhất-
CHƯƠNG 1: Este - Lipit
- Bài 1: Este
- Hóa 12 bài 1: Este
- Giải bài tập Hóa học 12 bài 1: Este
- Bài tập trắc nghiệm hóa 12 bài 1: Este
- Giải bài tập Hóa 12 nâng cao bài 1
- Giải bài tập Hóa 12 nâng cao bài 1
- Bài 2: Lipit
- Hóa 12 Bài 2: Lipit
- Giải bài tập Hóa học 12 bài 2: Lipit
- Bài tập trắc nghiệm hóa 12 bài 2: Lipit
- Giải bài tập Hóa 12 nâng cao bài 2
- Bài 3: Khái niệm về xà phòng và chất giặt rửa tổng hợp
- Hóa 12 Bài 3: Khái niệm về xà phòng và chất giặt rửa tổng hợp
- Giải bài tập Hóa học 12 bài 3: Khái niệm về xà phòng và chất giặt rửa tổng hợp
- Giải bài tập Hóa 12 nâng cao bài 3
- Bài 4: Luyện tập: Este và chất béo
- Giải bài tập Hóa học 12 bài 4: Luyện tập Este và chất béo
- Trắc nghiệm Chương 1
- 200 câu trắc nghiệm lý thuyết Este - Lipit
- 200 câu hỏi trắc nghiệm có đáp án Hóa học lớp 12: Este - Lipit
- Trắc nghiệm Hóa học lớp 12: Chương 1 - Este và Lipit
- Các dạng bài tập trắc nghiệm Este - Lipit
- Luyện thi THPT Quốc gia môn Hóa học: Este - Lipit
- Luyện thi THPT Quốc gia môn Hóa học: Este - Lipit Phần 2
- Luyện thi THPT Quốc gia môn Hóa học: Este - Lipit Phần 3
- Luyện thi THPT Quốc gia môn Hóa học: Este - Lipit Phần 4
- Luyện thi THPT Quốc gia môn Hóa học: Este - Lipit Phần 5
- Luyện thi THPT Quốc gia môn Hóa học: Este - Lipit Phần 6
- Giải bài tập Hóa 12 nâng cao bài 4
- Bài 1: Este
-
CHƯƠNG 2: Cacbohiđrat
- Bài 5: Glucozơ
- Hóa 12 Bài 5: Glucozo
- Giải bài tập Hóa học 12 bài 5: Glucozơ
- Giải bài tập Hóa 12 nâng cao bài 5
- Bài 6: Saccarozơ, tinh bột và xenlulozơ
- Hóa 12 Bài 6: Saccarozơ, tinh bột và xenlulozơ
- Giải bài tập Hóa học 12 bài 6: Saccarozơ, tinh bột và xenlulozơ
- Giải bài tập Hóa 12 nâng cao bài 6
- Giải bài tập Hóa 12 nâng cao bài 7
- Giải bài tập Hóa 12 nâng cao bài 8
- Bài 7: Luyện tập: Cấu tạo và tính chất của cacbohiđrat
- Hóa 12 Bài 7: Luyện tập cấu tạo và tính chất của cacbohidrat
- Giải bài tập Hóa học 12 bài 7: Luyện tập Cấu tạo và tính chất của cacbohiđrat
- Giải bài tập Hóa 12 nâng cao bài 9
- Bài 8: Thực hành: Điều chế, tính chất hóa học của este và cacbohiđrat
- Bài 8 hóa 12: Thực hành điều chế tính chất hóa học của este và cacbohirat
- Bài thực hành hóa 12 trang 38
- Bài 5: Glucozơ
-
CHƯƠNG 3: Amin, Amino axit và protein
- Bài 9: Amin
- Hóa 12 bài 9: Amin
- Giải bài tập Hóa học 12 bài 9: Amin
- Giải bài tập Hóa 12 nâng cao bài 11
- Bài 10: Amino axit
- Hóa 12 bài 10: Amino axit
- Giải bài tập Hóa học 12 bài 10: Amino axit
- Giải bài tập Hóa 12 nâng cao bài 12
- Bài 11: Peptit và protein
- Giải bài tập Hóa học 12 bài 11: Peptit và protein
- Giải bài tập Hóa 12 nâng cao bài 13
- Bài 12: Luyện tập: Cấu tạo và tính chất của amin, amino axit và protein
- Giải bài tập Hóa học 12 bài 12: Luyện tập Cấu tạo và tính chất của amin, amino axit và protein
- Giải bài tập Hóa 12 nâng cao bài 14
- Trắc nghiệm Chương 3
- 180 câu hỏi trắc nghiệm có đáp án Hóa học lớp 12: Amin - Amino axit - Protein
- Trắc nghiệm Hóa học lớp 12: Chương 3 - Amin - Amino axit - Protein
- Bài tập Amin-aminoaxit trong đề thi đại học
- Bài 9: Amin
-
CHƯƠNG 4: Polime và vật liệu polime
- Bài 13: Đại cương về polime
- Giải bài tập Hóa học 12 bài 13: Đại cương về polime
- Giải bài tập Hóa 12 nâng cao bài 16
- Bài 14: Vật liệu polime
- Giải bài tập Hóa học 12 bài 14: Vật liệu polime
- Giải bài tập Hóa 12 nâng cao bài 17
- Bài 15: Luyện tập: Polime và vật liệu polime
- Giải bài tập Hóa học 12 bài 15: Luyện tập Polime và vật liệu polime
- Giải bài tập Hóa 12 nâng cao bài 18
- Bài 16: Thực hành: Một số tính chất của protein và vật liệu polime
- Báo cáo thực hành bài 16 hóa học 12
- Giải bài tập Hóa học 12 bài 16: Thực hành Một số tính chất của protein và vật liệu polime
- Trắc nghiệm Chương 4
- 60 câu hỏi trắc nghiệm Polime và Vật liệu Polime
- Bài 13: Đại cương về polime
-
CHƯƠNG 5: Đại cương về kim loại
- Bài 17: Vị trí của kim loại trong bảng tuần hoàn và cấu tạo của kim loại
- Giải bài tập Hóa học 12 bài 17: Vị trí của kim loại trong bảng tuần hoàn và cấu tạo của kim loại
- Bài 18: Tính chất của kim loại. Dãy điện hóa của kim loại
- Giải bài tập Hóa học 12 bài 18: Tính chất của kim loại. Dãy điện hóa của kim loại
- Giải bài tập Hóa 12 nâng cao bài 20
- Bài 19: Hợp kim
- Giải bài tập Hóa học 12 bài 19: Hợp kim
- Giải bài tập Hóa 12 nâng cao bài 19
- Bài 20: Sự ăn mòn kim loại
- Giải bài tập Hóa 12 bài 20: Sự ăn mòn kim loại
- Giải bài tập Hóa 12 nâng cao bài 23
- Bài 21: Điều chế kim loại
- Giải bài tập Hóa học 12 bài 21: Điều chế kim loại
- Bài 22: Luyện tập: Tính chất của kim loại
- Giải bài tập Hóa học 12 bài 22: Luyện tập Tính chất của kim loại
- Giải bài tập Hóa 12 nâng cao bài 21
- Bài 24: Thực hành: Tính chất, điều chế kim loại, sự ăn mòn kim loại
- Thực hành tính chất điều chế kim loại sự ăn mòn kim loại
- Giải bài tập Hóa học 12 bài 24: Thực hành Tính chất, điều chế kim loại, sự ăn mòn kim loại
- Giải bài tập Hóa 12 nâng cao bài 25
- Bài 23: Luyện tập: Điều chế kim loại và sự ăn mòn kim loại
- Giải bài tập Hóa 12 bài 23: Luyện tập Điều chế kim loại và sự ăn mòn kim loại
- Trắc nghiệm Chương 5
- Ôn tập Hóa học lớp 12 chương 5: ĐẠI CƯƠNG VỀ KIM LOẠI
- Câu hỏi trắc nghiệm có đáp án Hóa học lớp 12: Đại cương về Kim loại
- Giải bài tập Hóa 12 nâng cao bài 22
- Bài 17: Vị trí của kim loại trong bảng tuần hoàn và cấu tạo của kim loại
-
CHƯƠNG 6: Kim loại kiềm, kim loại kiềm thổ, nhôm
- Bài 25: Kim loại kiềm và hợp chất quan trọng của kim loại kiềm
- Trắc nghiệm Hóa học 12 bài 25: Kim loại kiềm, kim loại kiềm thổ, nhôm
- Giải bài tập Hóa học 12 bài 25: Kim loại kiềm và hợp chất quan trọng của kim loại kiềm
- Giải bài tập Hóa 12 nâng cao bài 28
- Giải bài tập Hóa 12 nâng cao bài 29
- Giải bài tập Hóa 12 nâng cao bài 31
- Bài 27: Nhôm và hợp chất của nhôm
- Bài tập về nhôm và hợp chất của nhôm
- Giải bài tập Hóa học 12 bài 27: Nhôm và hợp chất của nhôm
- Giải bài tập Hóa 12 nâng cao bài 33
- Giải bài tập Hóa 12 nâng cao bài 34
- Bài 26: Kim loại kiềm thổ
- Hóa 12 Bài 26: Kim loại kiềm thổ
- Giải bài tập Hóa 12 bài 26: Kim loại kiềm thổ
- Các dạng bài tập về kim loại kiềm thổ
- Giải bài tập Hóa 12 nâng cao bài 30
- Bài 28: Luyện tập: Tính chất của kim loại kiềm, kim loại kiềm thổ và hợp chất của chúng
- Giải bài tập Hóa 12 bài 28: Luyện tập Tính chất của kim loại kiềm, kim loại kiềm thổ và hợp chất của chúng
- Giải bài tập Hóa 12 nâng cao bài 32
- Bài 29: Luyện tập: Tính chất của nhôm và hợp chất của nhôm
- Giải bài tập Hóa 12 bài 29: Luyện tập Tính chất của nhôm và hợp chất của nhôm
- Giải bài tập Hóa 12 nâng cao bài 35
- Bài 30: Thực hành: Tính chất của natri, magie, nhôm và hợp chất của chúng
- Giải bài tập Hóa 12 bài 30: Thực hành Tính chất của natri, magie, nhôm và hợp chất của chúng
- Trắc nghiệm Chương 6
- Câu hỏi trắc nghiệm có đáp án Hóa học lớp 12: Kim loại kiềm, kim loại kiềm thổ, nhôm
- Bài 25: Kim loại kiềm và hợp chất quan trọng của kim loại kiềm
-
CHƯƠNG 7: Sắt và một số kim loại quan trọng
- Bài 31: Sắt
- Giải bài tập Hóa 12 bài 31: Sắt
- Giải bài tập Hóa 12 nâng cao bài 40
- Bài 32: Hợp chất của sắt
- Giải bài tập Hóa học 12 bài 32: Hợp chất của sắt
- Giải bài tập Hóa 12 nâng cao bài 41
- Bài 33: Hợp kim của sắt
- Giải bài tập Hóa học 12 bài 33: Hợp kim của sắt
- Giải bài tập Hóa 12 nâng cao bài 42
- Bài 34: Crom và hợp chất của crom
- Giải bài tập Hóa 12 bài 34: Crom và hợp chất của crom
- Giải bài tập Hóa 12 nâng cao bài 38
- Giải bài tập Hóa 12 nâng cao bài 39
- Bài 35: Đồng và hợp chất của đồng
- Giải bài tập Hóa 12 bài 35: Đồng và hợp chất của đồng
- Giải bài tập Hóa 12 nâng cao bài 43
- Bài 36: Sơ lược về niken, kẽm, chì, thiếc
- Giải bài tập Hóa học 12 bài 36: Sơ lược về niken, kẽm, chì, thiếc
- Giải bài tập Hóa 12 nâng cao bài 44
- Bài 37: Luyện tập: Tính chất hóa học của sắt và hợp chất của sắt
- Giải bài tập Hóa học 12 bài 37: Luyện tập Tính chất hóa học của sắt và hợp chất của sắt
- Bài 38: Luyện tập: Tính chất hóa học của crom, đồng và hợp chất của chúng
- Giải bài tập Hóa 12 bài 38: Luyện tập Tính chất hóa học của crom, đồng và hợp chất của chúng
- Giải bài tập Hóa 12 nâng cao bài 45
- Giải bài tập Hóa 12 nâng cao bài 46
- Bài 39: Thực hành: Tính chất hóa học của sắt, đồng và những hợp chất của sắt, crom
- Bài thực hành hóa 12 bài 39
- Giải bài tập Hóa 12 bài 39: Thực hành Tính chất hóa học của sắt, đồng và những hợp chất của sắt, crom
- Trắc nghiệm Chương 7
- 360 câu hỏi trắc nghiệm có đáp án môn Hóa học lớp 12: Crom, sắt, đồng, niken, chì, kẽm, vàng, bạc, thiếc
- Bài 31: Sắt
-
CHƯƠNG 8: Phân biệt một số chất vô cơ
- Bài 40: Nhận biết một số ion trong dung dịch
- Giải bài tập Hóa học 12 bài 40: Nhận biết một số ion trong dung dịch
- Giải bài tập Hóa 12 nâng cao bài 48
- Giải bài tập Hóa 12 nâng cao bài 49
- Bài 41: Nhận biết một số chất khí
- Giải bài tập Hóa học 12 bài 41: Nhận biết một số chất khí
- Giải bài tập Hóa 12 nâng cao bài 50
- Giải bài tập Hóa 12 nâng cao bài 51
- Giải bài tập Hóa 12 nâng cao bài 52
- Giải bài tập Hóa 12 nâng cao bài 53
- Bài 42: Luyện tập: Nhận biết một số chất vô cơ
- Giải bài tập Hóa học 12 bài 42: Luyện tập Nhận biết một số chất vô cơ
- Trắc nghiệm Chương 8
- Trắc nghiệm Hoá học 12: Phân biệt một số chất vô cơ và chuẩn độ dung dịch. Hóa học và vấn đề phát triển kinh tế xã hội, môi trường
- Bài 40: Nhận biết một số ion trong dung dịch
-
CHƯƠNG 9: Hóa học và vấn đề phát triển kinh tế, xã hội, môi trường
- Bài 43: Hóa học và vấn đề phát triển kinh tế
- Giải bài tập Hóa học 12 bài 43: Hóa học và vấn đề phát triển kinh tế
- Giải bài tập Hóa 12 nâng cao bài 56
- Bài 44: Hóa học và vấn đề xã hội
- Giải bài tập Hóa học 12 bài 44: Hóa học và vấn đề xã hội
- Giải bài tập Hóa 12 nâng cao bài 57
- Bài 45: Hóa học và vấn đề môi trường
- Giải bài tập Hóa học 12 bài 45: Hóa học và vấn đề môi trường
- Giải bài tập Hóa 12 nâng cao bài 58
- Bài 43: Hóa học và vấn đề phát triển kinh tế
-
Lớp 12 -
Giải bài tập Hóa 12 nâng cao -
Đề KSCL đầu năm lớp 12 -
Đề thi giữa kì 1 lớp 12 -
Đề thi học kì 1 lớp 12 -
Đề thi giữa kì 2 lớp 12 -
Đề thi học kì 2 lớp 12 -
Đề kiểm tra 15 phút lớp 12 -
Thi học sinh giỏi lớp 12 -
Toán 12 -
Toán 12 Kết nối tri thức -
Toán 12 Chân trời sáng tạo -
Toán 12 Cánh diều -
Trắc nghiệm Toán 12 Kết nối tri thức -
Chuyên đề Toán 12
Tham khảo thêm
-
Giải bài tập Hóa 12 nâng cao bài 57
-
Giải bài tập Hóa 12 nâng cao bài 49
-
Giải bài tập Hóa 12 nâng cao bài 50
-
Giải bài tập Hóa 12 nâng cao bài 53
-
Giải bài tập Hóa 12 nâng cao bài 52
-
Giải bài tập Hóa 12 nâng cao bài 51
-
Giải bài tập Hóa 12 nâng cao bài 58
-
Giải bài tập Hóa 12 nâng cao bài 46
-
Giải bài tập Hóa 12 nâng cao bài 48
-
Giải bài tập Hóa 12 nâng cao bài 56
Giải bài tập Hóa 12 nâng cao
-
Giải bài tập Hóa 12 nâng cao bài 52
-
Giải bài tập Hóa 12 nâng cao bài 58
-
Giải bài tập Hóa 12 nâng cao bài 56
-
Giải bài tập Hóa 12 nâng cao bài 57
-
Giải bài tập Hóa 12 nâng cao bài 53
-
Giải bài tập Hóa 12 nâng cao bài 51
Gợi ý cho bạn
-
Bộ đề kiểm tra cuối tuần Tiếng Việt lớp 4 Kết nối tri thức Tuần 20
-
Bài tập cuối tuần Tiếng Việt lớp 4 Kết nối tri thức Tuần 20 Nâng cao
-
Bài tập tiếng Anh 7 i-Learn Smart World Unit 1
-
Bài tập Tiếng Anh 9 i-Learn Smart World Unit 1
Từ khóa » Bài Tập Glucozo Lớp 12 Nâng Cao
-
Giải Hóa 12 Nâng Cao Bài 5: Glucozơ
-
30 Bài Tập Glucozo Nâng Cao Chọn Lọc, Có Lời Giải Chi Tiết
-
Giải Bài Tập Hóa Học 12 - Bài 5: Glucozơ (Nâng Cao)
-
Giải Bài Tập SGK Hóa Học 12 Nâng Cao Bài 5: Glucozơ
-
Bài 5. Glucozơ - Hóa Học 12 Nâng Cao
-
Để Học Tốt Hóa Học 12 Nâng Cao
-
Giải Bài Tập SGK Hóa 12 Nâng Cao Bài 5: Glucozơ - Lop 12
-
Giải Bài Tập Hóa Glucozo 12 Nâng Cao Mới Nhất Năm 2022 | Gò-dư
-
Giải Bài 1, 2, 3, 4, 5, 6, 7, 8 Trang 32, 33 SGK Hóa Học 12 Nâng Cao
-
Giải Bài Tập Hóa Glucozo 12 Nâng Cao Mới Nhất Năm 2022 ...
-
Giải Bài 8 Trang 33 Sgk Hóa 12 Nâng Cao – TopLoigiai
-
Giải Hóa 12 Nâng Cao Bài 5: Glucozơ
-
Giải Bài Tập Hóa Học 12 Bài 5 Glucozơ
-
Tải Giải Bài Tập Hóa 12 Nâng Cao Bài 9 - Luyện Tập: Cấu Trúc Và Tính ...
