Giải Toán 9: Bài 5. Hệ Số Góc Của đường Thẳng Y = Ax + B (a Khác 0)
Có thể bạn quan tâm

- Home
- Lớp 1,2,3
- Lớp 1
- Giải Toán Lớp 1
- Tiếng Việt Lớp 1
- Lớp 2
- Giải Toán Lớp 2
- Tiếng Việt Lớp 2
- Văn Mẫu Lớp 2
- Lớp 3
- Giải Toán Lớp 3
- Tiếng Việt Lớp 3
- Văn Mẫu Lớp 3
- Giải Tiếng Anh Lớp 3
- Lớp 4
- Giải Toán Lớp 4
- Tiếng Việt Lớp 4
- Văn Mẫu Lớp 4
- Giải Tiếng Anh Lớp 4
- Lớp 5
- Giải Toán Lớp 5
- Tiếng Việt Lớp 5
- Văn Mẫu Lớp 5
- Giải Tiếng Anh Lớp 5
- Lớp 6
- Soạn Văn 6
- Giải Toán Lớp 6
- Giải Vật Lý 6
- Giải Sinh Học 6
- Giải Tiếng Anh Lớp 6
- Giải Lịch Sử 6
- Giải Địa Lý Lớp 6
- Giải GDCD Lớp 6
- Lớp 7
- Soạn Văn 7
- Giải Bài Tập Toán Lớp 7
- Giải Vật Lý 7
- Giải Sinh Học 7
- Giải Tiếng Anh Lớp 7
- Giải Lịch Sử 7
- Giải Địa Lý Lớp 7
- Giải GDCD Lớp 7
- Lớp 8
- Soạn Văn 8
- Giải Bài Tập Toán 8
- Giải Vật Lý 8
- Giải Bài Tập Hóa 8
- Giải Sinh Học 8
- Giải Tiếng Anh Lớp 8
- Giải Lịch Sử 8
- Giải Địa Lý Lớp 8
- Lớp 9
- Soạn Văn 9
- Giải Bài Tập Toán 9
- Giải Vật Lý 9
- Giải Bài Tập Hóa 9
- Giải Sinh Học 9
- Giải Tiếng Anh Lớp 9
- Giải Lịch Sử 9
- Giải Địa Lý Lớp 9
- Lớp 10
- Soạn Văn 10
- Giải Bài Tập Toán 10
- Giải Vật Lý 10
- Giải Bài Tập Hóa 10
- Giải Sinh Học 10
- Giải Tiếng Anh Lớp 10
- Giải Lịch Sử 10
- Giải Địa Lý Lớp 10
- Lớp 11
- Soạn Văn 11
- Giải Bài Tập Toán 11
- Giải Vật Lý 11
- Giải Bài Tập Hóa 11
- Giải Sinh Học 11
- Giải Tiếng Anh Lớp 11
- Giải Lịch Sử 11
- Giải Địa Lý Lớp 11
- Lớp 12
- Soạn Văn 12
- Giải Bài Tập Toán 12
- Giải Vật Lý 12
- Giải Bài Tập Hóa 12
- Giải Sinh Học 12
- Giải Tiếng Anh Lớp 12
- Giải Lịch Sử 12
- Giải Địa Lý Lớp 12
Các bài học tiếp theo
- Ôn tập chương II
- Bài 1. Một số hệ thức về cạnh và đường cao trong tam giác vuông
- Bài 2. Tỉ số lượng giác của góc nhọn
- Bài 3. Bảng lượng giác
- Bài 4. Một số hệ thức về cạnh và góc trong tam giác vuông
- Ôn tập chương I
- Bài 1. Sự xác định đường tròn. Tính chất đối xứng của đường tròn
- Bài 2. Đường kính và dây của đường tròn
- Bài 3. Liên hệ giữa dây và khoảng cách từ tâm đến dây
- Bài 4. Vị trí tương đối của đường thẳng và đường tròn
Các bài học trước
- Bài 4. Đường thẳng song song và đường thẳng cắt nhau
- Bài 3. Đồ thị của hàm số y = ax + b (a khác 0)
- Bài 2. Hàm số bậc nhất
- Bài 1. Nhắc lại và bổ sung các khái niệm về hàm số
- Ôn tập chương I
- Bài 9. Căn thức bậc ba
- Bài 8. Rút gọn biểu thức chứa căn thức bậc hai
- Bài 7. Biến đổi đơn giản biểu thức chứa căn thức bậc hai (tiếp theo)
- Bài 6. Biến đổi đơn giản biểu thức chứa căn thức bậc hai
- Bài 5. Bảng căn bậc hai
Tham Khảo Thêm
- Giải Bài Tập Toán 9 Tập 1
- Giải Bài Tập Toán 9 Tập 2
- Giải Toán Lớp 9 - Tập 1(Đang xem)
- Giải Toán Lớp 9 - Tập 2
- Giải Toán 9 - Tập 1
- Giải Toán 9 - Tập 2
- Sách Giáo Khoa - Toán 9 Tập 1
- Sách Giáo Khoa - Toán 9 Tập 2
Giải Toán Lớp 9 - Tập 1
- PHẦN ĐẠI SỐ
- Chương I. CĂN BẬC HAI - CĂN BẬC BA
- Bài 1. Căn bậc hai
- Bài 2. Căn thức bậc hai và hằng đẳng thức
- Bài 3. Liên hệ giữa phép nhân và phép khai phương
- Bài 4. Liên hệ giữa phép chia và phép khai phương
- Bài 5. Bảng căn bậc hai
- Bài 6. Biến đổi đơn giản biểu thức chứa căn thức bậc hai
- Bài 7. Biến đổi đơn giản biểu thức chứa căn thức bậc hai (tiếp theo)
- Bài 8. Rút gọn biểu thức chứa căn thức bậc hai
- Bài 9. Căn thức bậc ba
- Ôn tập chương I
- Chương II. HÀM SỐ BẬC NHẤT
- Bài 1. Nhắc lại và bổ sung các khái niệm về hàm số
- Bài 2. Hàm số bậc nhất
- Bài 3. Đồ thị của hàm số y = ax + b (a khác 0)
- Bài 4. Đường thẳng song song và đường thẳng cắt nhau
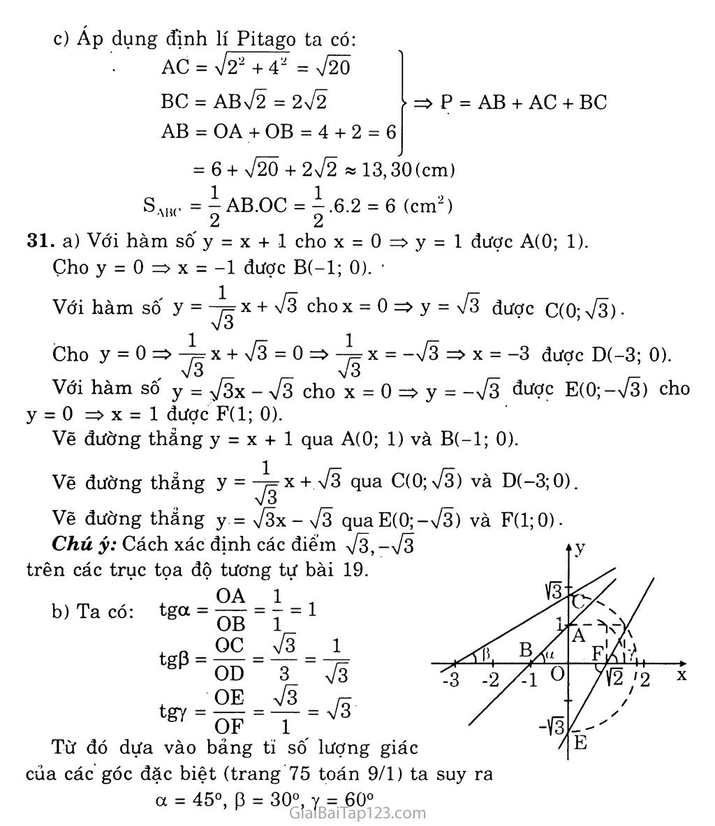
- Bài 5. Hệ số góc của đường thẳng y = ax + b (a khác 0)(Đang xem)
- Ôn tập chương II
- PHẦN HÌNH HỌC
- Chương I. HỆ THỨC LƯỢNG TRONG TAM GIÁC VUÔNG
- Bài 1. Một số hệ thức về cạnh và đường cao trong tam giác vuông
- Bài 2. Tỉ số lượng giác của góc nhọn
- Bài 3. Bảng lượng giác
- Bài 4. Một số hệ thức về cạnh và góc trong tam giác vuông
- Ôn tập chương I
- Chương II. ĐƯỜNG TRÒN
- Bài 1. Sự xác định đường tròn. Tính chất đối xứng của đường tròn
- Bài 2. Đường kính và dây của đường tròn
- Bài 3. Liên hệ giữa dây và khoảng cách từ tâm đến dây
- Bài 4. Vị trí tương đối của đường thẳng và đường tròn
- Bài 5. Các dấu hiệu nhận biết tiếp tuyến của đường tròn
- Bài 6. Tính chất của hai tiếp tuyến cắt nhau
- Bài 7. Vị trí tương đối của hai đường tròn
- Bài 8. Vị trí tương đối của hai đường tròn (tiếp theo)
- Ôn tập chương II
Từ khóa » Hệ Số Góc Là Gì Lớp 9
-
Lý Thuyết Hệ Số Góc Của đường Thẳng Y = Ax + B (a ≠ 0)
-
Hệ Số Góc Của đường Thẳng Y = Ax + B - Chuyên đề Toán 9
-
Lý Thuyết Hệ Số Góc Của đường Thẳng Y = Ax + B Hay, Chi Tiết
-
Hệ Số Góc Của đường Thẳng Là Gì ? Cách Tính Hệ Số Góc ? Ví Dụ ...
-
Hệ Số Góc Của đường Thẳng: Cách Tính Và Bài Tập ...
-
Hệ Số Góc Là Gì, Lý Thuyết Hệ Số Góc Của đường Thẳng Y=ax+b
-
HỆ SỐ GÓC CỦA MỘT ĐƯỜNG THẲNG LÀ Y = AX + B
-
Lý Thuyết Hệ Số Góc Của đường Thẳng Y = Ax + B
-
Hệ Số Góc Của đường Thẳng Là Gì? - Top Lời Giải
-
Hệ Số Góc Của đường Thẳng Là Gì? Cách Tính Hệ Số ... - DINHNGHIA.VN
-
Giải Toán 9 Bài 5. Hệ Số Góc Của đường Thẳng Y = Ax + B (a Khác 0)
-
Lý Thuyết Hệ Số Góc Của đường Thẳng Y = Ax + B (a ≠ 0). - Môn Toán
-
Giáo án đại Số Lớp 9 Tiết 26: HỆ SỐ GÓC CỦA ĐƯỜNG THẲNG Y ...
-
Lý Thuyết Hệ Số Góc Của đường Thẳng Y = Ax + B (a ≠ 0)




