Hàm Số Y=log Cơ Số 2(x^3-4x) Có Bao Nhiêu điểm Cực Trị?A. 0
Có thể bạn quan tâm
Hàm số y=log2(x3-4x) có bao nhiêu điểm cực trị?
A. 0
B. 2
C. 1
D. 3
Trả Lời Hỏi câu khác Lưu câu hỏi Lưu Hỏi chi tiết ...Xem thêmQuảng cáo
1 câu trả lời 4748
H Huyền Thương 4 năm trướcPhương pháp:
Ta có: x=x0 là điểm cực trị của hàm số y=f(x) ⇔tại điểm x=x0 thì hàm số có y' đổi dấu từ dương sang âm hoặc ngược lại.
Cách giải:



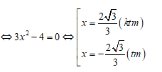
Vậy y' đổi dấu từ dương sang âm qua x0=233nên hàm số có một cực trị.
Chọn C.
...Xem thêm 0 bình luận Đăng nhập để hỏi chi tiếtQuảng cáo
Bạn hỏi - Chuyên gia trả lời
Bạn cần hỏi gì?
Gửi câu hỏiCâu hỏi hot cùng chủ đề
-
Đã trả lời bởi chuyên gia Cách chuyển từ sin sang cos ạ ?
Trả lời (51) Xem đáp án » 323863 -
Đã trả lời bởi chuyên gia Cho hàm số y=f(x), bảng xét dấu của f'(x) như sau:

Hàm số y=f(5-2x) nghịch biến trên khoảng nào dưới đây?
A. (2; 3)
B. (0; 2)
C. (3; 5)
D. (5; +∞)
Trả lời (16) Xem đáp án » 130079 -
Đã trả lời bởi chuyên gia Cho hàm số y=ax3+bx2+cx+d có đồ thị như hình vẽ. Tìm mệnh đề đúng
A. a<0, b>0, c>0, d<0
B. a<0, b<0, c>0, d<0
C. a>0, b>0, c>0, d<0
D. a<0, b>0, c<0, d<0
Trả lời (4) Xem đáp án » 129981 - Hỏi từ APP VIETJACK
Đã trả lời bởi chuyên gia Trên tập hợp các số phức, xét phương trình z^2 - 2(m+1)z + m^2=0(m là số thực). Có bao nhiêu giá trị của m để phương trình đó có nghiệm Zo thỏa mãn |Zo|=7 A. 1 B. 4 C. 3 D. 2 Trả lời (6) Xem đáp án » 129767 -
Đã trả lời bởi chuyên gia Hàm số y=2x+3x+1 có bao nhiêu điểm cực trị ?
A. 3
B. 0
C. 1
D. 2
Trả lời (28) Xem đáp án » 104218 -
Đã trả lời bởi chuyên gia Tìm tập xác định D của hàm số y = (x-1)13
A. D = (-∞; 1)
B. D = (1; +∞)
C. D =R
D. D = R \ {1}
Trả lời (3) Xem đáp án » 94156 -
Đã trả lời bởi chuyên gia Tập xác định của hàm số y = log2 (x+1) là
A. D = (0;+∞)
B. D = (-1;+∞)
C. D = [-1;+∞)
D. D = [0;+∞)
Trả lời (3) Xem đáp án » 70460 -
Đã trả lời bởi chuyên gia Cho hàm số y=2x2+1. Mệnh đề nào sau đây đúng?
A. Hàm số nghịch biến trên khoảng (-1;1)
B. Hàm số đồng biến trên khoảng 0;+∞
C. Hàm số đồng biến trên khoảng −∞;0
D. Hàm số nghịch biến trên khoảng 0;+∞
Từ khóa » Hàm Số Logarit Có Bao Nhiêu Cực Trị
-
Hàm Số \(y=\log Có Bao Nhiêu điểm Cực Trị? - Trắc Nghiệm Online
-
Hàm Số Y = Log 2 X^3 - 4x Có Bao Nhiêu điểm Cực Trị 0 - Tự Học 365
-
Chủ đề: Cực Trị Của Hàm Số Mũ Và Logarit - 123doc
-
Hàm Số Logarit, Hàm Số Mũ: Lý Thuyết & Bài Tập (Kèm Tài Liệu)
-
Hàm Số Logarit Có Bao Nhiêu Cực Trị
-
Hàm Số $y = {\log 2}\left( {{x^3} - 4x} \right)$ Có Bao Nhiêu điểm Cực Trị?
-
Lý Thuyết Hàm Số Mũ, Hàm Số Lôgarit | SGK Toán Lớp 12
-
Cực Trị Của Hàm Số Lớp 12: Lý Thuyết, Cách Tìm Và Các Dạng Bài ...
-
Hàm Số Mũ Và Logarit - đầy đủ Lý Thuyết, Chi Tiết Bài Tập
-
[CHUẨN NHẤT] Cực Trị Là Gì? - TopLoigiai
-
Cực Trị Của Hàm Số Là Gì? Cực Trị Của Hàm Số Lượng Giác
-
Tìm Cực Trị Của Hàm Số Dựa Vào đồ Thị Cực Hay, Có Lời Giải - Haylamdo
-
Cách Tìm Cực Trị Của Hàm Hợp Cực Hay, Có Lời Giải - Toán Lớp 12