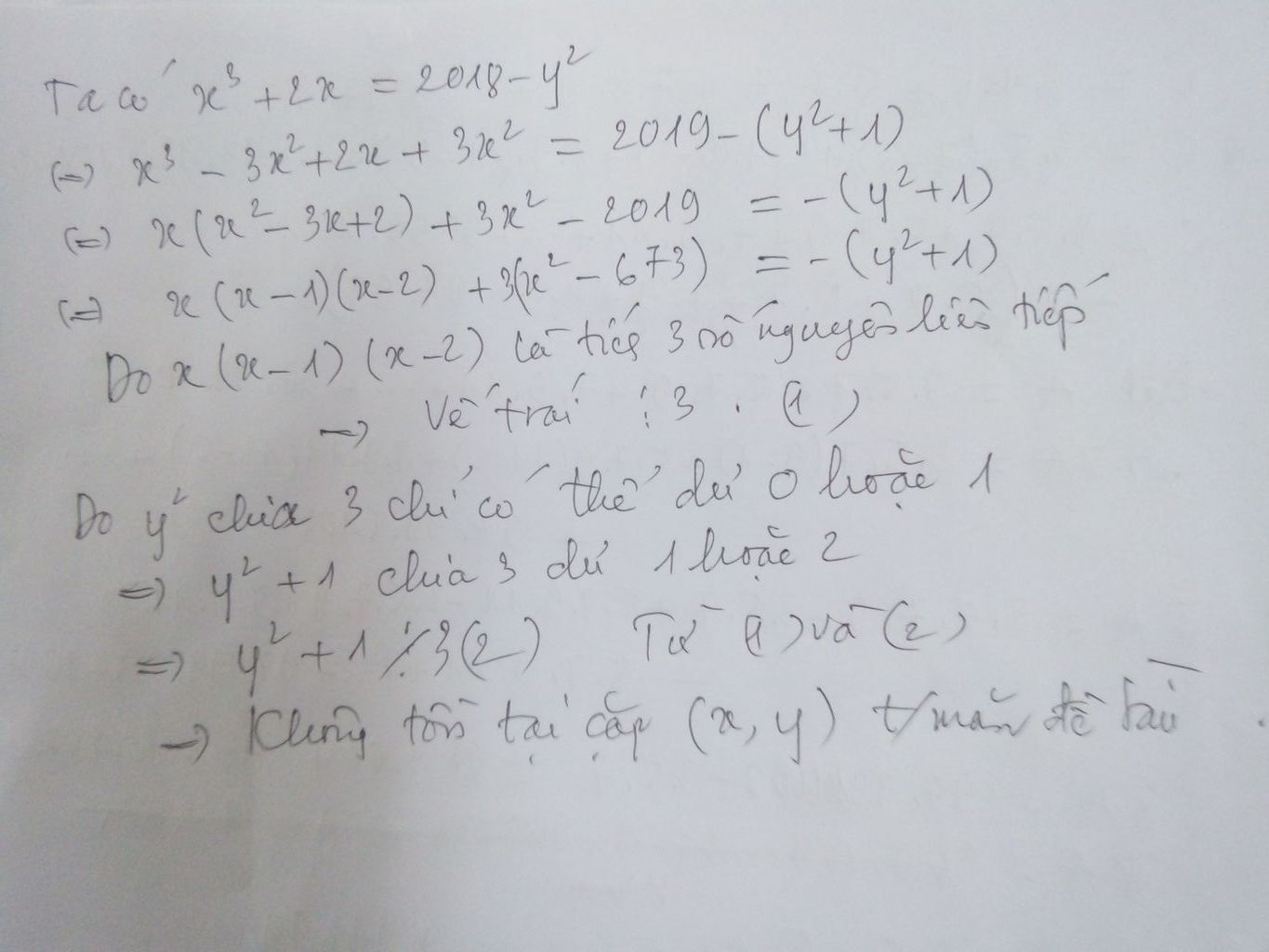
Tìm Nghiệm Nguyên Của Pt: X^3+2x=2018-y^2 Câu Hỏi 80384
Có thể bạn quan tâm


Tìm kiếm với hình ảnh
Vui lòng chỉ chọn một câu hỏi
Tìm đáp án
Đăng nhập- |
- Đăng ký


Hoidap247.com Nhanh chóng, chính xác
Hãy đăng nhập hoặc tạo tài khoản miễn phí!
Đăng nhậpĐăng ký

Lưu vào
+
Danh mục mới
- vananh1170

- Chưa có nhóm
- Trả lời
0
- Điểm
50
- Cảm ơn
0
- Toán Học
- Lớp 8
- 10 điểm
- vananh1170 - 09:48:17 02/11/2019
- Hỏi chi tiết
Báo vi phạm
Hãy luôn nhớ cảm ơn và vote 5* nếu câu trả lời hữu ích nhé!
TRẢ LỜI
vananh1170 rất mong câu trả lời từ bạn. Viết trả lờiTRẢ LỜI


- haongo

- Chưa có nhóm
- Trả lời
1428
- Điểm
16258
- Cảm ơn
1095
- haongo
- 02/11/2019
Đây là một chuyên gia không còn hoạt độngĐáp án:
Giải thích các bước giải:

Hãy giúp mọi người biết câu trả lời này thế nào?
starstarstarstarstarstarstarstarstarstarstarstarstarstarstarstarstarstarstarstarstarstarstarstarstarstarstarstarstarstar4.3starstarstarstarstar3 voteGửiHủy
Cảm ơn 4
Báo vi phạm


- vananh1170

- Chưa có nhóm
- Trả lời
0
- Điểm
50
- Cảm ơn
0
Cám ơn bạn. Chúc bạn có nhiều hứng thú khi giải toán.
- vananh1170
Bạn muốn hỏi điều gì?
Tham Gia Group Dành Cho Lớp 8 Chia Sẻ, Trao Đổi Tài Liệu Miễn Phí

Bảng tin
Bạn muốn hỏi điều gì?
Lý do báo cáo vi phạm?
Gửi yêu cầu Hủy

Cơ quan chủ quản: Công ty Cổ phần Công nghệ Giáo dục Thành Phát
Tải ứng dụng


- Hướng dẫn sử dụng
- Điều khoản sử dụng
- Nội quy hoidap247
- Góp ý
Inbox: m.me/hoidap247online
Trụ sở: Tầng 7, Tòa Intracom, số 82 Dịch Vọng Hậu, Cầu Giấy, Hà Nội.
Từ khóa » Giải Pt Nghiệm Nguyên X^3+2 X=2018-y^2
-
Giải Phương Trình Nghiệm Nguyên: X^3 + 2x = 2018 - Y^2 - Lazi
-
Giải Phương Trình Nghiệm Nguyên: X^3 2x=2018-y^2 - Hoc24
-
Giải Phương Trình Nghiệm Nguyên: \(x^3+2x=2018-y^2\) - Hoc24
-
Giai Phương Trình Nghiệm Nguyên:x3+2x=2018-y2 - Olm
-
Giải Phương Trình Nghiệm Nguyên:\(x^3+2x=2018-y^2\) - Olm
-
Tìm Các Nghiệm Nguyên Của Phương Trình Sau: Y^3 - 2x + 2 = X(x + 1 ...
-
Giải Phương Trình Nghiệm Nguyên X^3-y^3=xy+8 - Bich Thu - Hoc247
-
Giải Hệ Phương Trình Nghiệm Nguyên 2^x - 3^y =1 Và X, Y Khác 0
-
CÁC PHƯƠNG PHÁP GIẢI PHƯƠNG TRÌNH NGHIỆM NGUYÊN
-
Phương Trình (x^2) + 3<=ft| (x - 3) Right| = 2x + 5 Có Tích Của
-
Giải Phương Trình Nghiệm Nguyên X^3-y^3=2xy+8Giải PT ...