Tìm X Thuộc N để Biểu Thức P Có Giá Trị Nguyên Giải Chi Tiết Bài Này ...
Có thể bạn quan tâm


Tìm kiếm với hình ảnh
Vui lòng chỉ chọn một câu hỏi
Tìm đáp án
Đăng nhập- |
- Đăng ký


Hoidap247.com Nhanh chóng, chính xác
Hãy đăng nhập hoặc tạo tài khoản miễn phí!
Đăng nhậpĐăng ký

Lưu vào
+
Danh mục mới


- Viytuy2433

- Chưa có nhóm
- Trả lời
0
- Điểm
50
- Cảm ơn
0
- Toán Học
- Lớp 9
- 60 điểm
- Viytuy2433 - 23:01:35 24/05/2022

- Hỏi chi tiết
Báo vi phạm
Hãy luôn nhớ cảm ơn và vote 5* nếu câu trả lời hữu ích nhé!
TRẢ LỜI


- dthfgh

- Victory
- Trả lời
2053
- Điểm
9016
- Cảm ơn
2172
- dthfgh
- 24/05/2022

Đây là câu trả lời đã được xác thực
Câu trả lời được xác thực chứa thông tin chính xác và đáng tin cậy, được xác nhận hoặc trả lời bởi các chuyên gia, giáo viên hàng đầu của chúng tôi.
Đáp án:
Giải thích các bước giải:
`P\in ZZ<=>5 \vdots \sqrt{x}-3`
`<=>\sqrt{x}-3\in Ư{5} \in{+-1;+-5}`
Mà `\sqrt{x}-3>=-3=>\sqrt{x}-3 \in {1;-1;5}`
`<=>\sqrt{x} \in {4;2;8}`
`<=>x \in{16;4;64} (TM)`
Vậy `x\in{4;16;64}`
Hãy giúp mọi người biết câu trả lời này thế nào?
starstarstarstarstarstarstarstarstarstarstarstarstarstarstarstarstarstarstarstarstarstarstarstarstarstarstarstarstarstar4.2starstarstarstarstar5 voteGửiHủy
Cảm ơn 3


- UnknownPerson

- Chưa có nhóm
- Trả lời
1114
- Điểm
160
- Cảm ơn
1682
cm xth =))
- UnknownPerson


- dthfgh

- Victory
- Trả lời
2053
- Điểm
9016
- Cảm ơn
2172
:) được cũng nhiều nên thấy bth h cx ít ng chúc cảm ơn nhé:))
- dthfgh


- UnknownPerson

- Chưa có nhóm
- Trả lời
1114
- Điểm
160
- Cảm ơn
1682
cùng nhóm thì chúc thui =))
- UnknownPerson


- dthfgh

- Victory
- Trả lời
2053
- Điểm
9016
- Cảm ơn
2172
:) camon
- dthfgh
Xem thêm:
- >> Tuyển tập 100+ đề bài đọc hiểu Ngữ Văn lớp 9


- TenhYewwBoXitttt

- Team Ngủ Đông
- Trả lời
8074
- Điểm
31348
- Cảm ơn
7359
- TenhYewwBoXitttt
- 17/06/2023
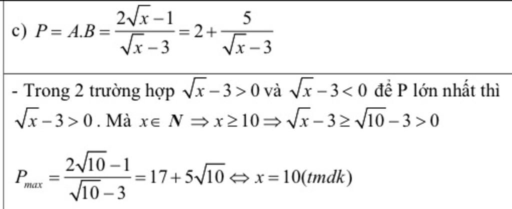
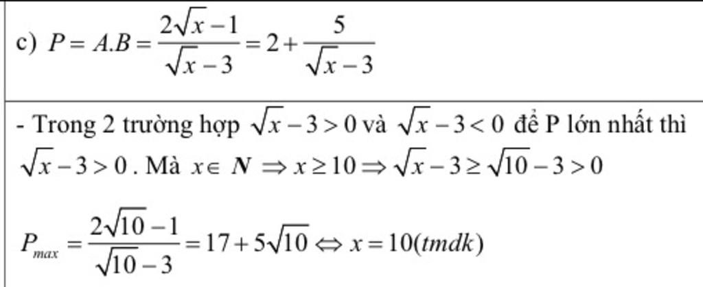
`P=(2sqrtx-1)/(sqrtx-3)(x>=0;xne9)`
`=(2sqrtx-6+5)/(sqrtx-3)`
`=2+5/(sqrtx-3)`
Để P nguyên thì `5/(sqrtx-3)inZZ`
`=>5vdots(sqrtx-3)`
`=>(sqrtx-3)in Ư(5)={+-1;+-5}`
`=>[(sqrtx-3=-5),(sqrtx-3=-1),(sqrtx-3=1),(sqrtx-3=5):}`
`<=>[(sqrtx=-2(vl)),(sqrtx=2),(sqrtx=4),(sqrtx=8):}`
`<=>[(x=4(tm)),(x=16(tm)),(x=64(tm)):}`
Hãy giúp mọi người biết câu trả lời này thế nào?
starstarstarstarstarstarstarstarstarstarstarstarstarstarstarstarstarstarstarstarstarstarstarstarstarstarstarstarstarstar1starstarstarstarstar1 voteGửiHủy
Cảm ơn
Báo vi phạm


- dthfgh

- Victory
- Trả lời
2053
- Điểm
9016
- Cảm ơn
2172
đào ghê phết nhỉ
- dthfgh


- TenhYewwBoXitttt

- Team Ngủ Đông
- Trả lời
8074
- Điểm
31348
- Cảm ơn
7359
qá khen ;)))
- TenhYewwBoXitttt
Bạn muốn hỏi điều gì?
Tham Gia Group Dành Cho Lớp 9 - Ôn Thi Vào Lớp 10 Miễn Phí

Bảng tin
Bạn muốn hỏi điều gì?
Lý do báo cáo vi phạm?
Gửi yêu cầu Hủy

Cơ quan chủ quản: Công ty Cổ phần Công nghệ Giáo dục Thành Phát
Tải ứng dụng


- Hướng dẫn sử dụng
- Điều khoản sử dụng
- Nội quy hoidap247
- Góp ý
Inbox: m.me/hoidap247online
Trụ sở: Tầng 7, Tòa Intracom, số 82 Dịch Vọng Hậu, Cầu Giấy, Hà Nội.
Từ khóa » Tìm X Thuộc N để M Có Giá Trị Nguyên
-
Rút Gọn M. Tìm X Thuộc N để M Là Số Tự Nhiên - Toán Học Lớp 9 - Lazi
-
Rút Gọn Biểu Thức M. Tìm X Thuộc N để Giá Trị Của M Là Số Tự Nhiên
-
Tìm A Thuộc N để Biểu Thức Sau Có Giá Trị Nguyên : A=\(\dfrac{40\left
-
Tìm X Thuộc N để \(\frac{n}{n+1}\)+ \(\frac{2}{n+1}\)là Số Tự Nhiên
-
Tìm Giá Trị X Nguyên để A Nhận Giá Trị Nguyên
-
Cho N = 9√x−5 . Tìm X Thuộc Z để N Có Giá Trị Nguyên - Olm
-
Cho E = 5−xx−2 Tìm X Thuộc Z để E Có Giá Trị Nguyên . - Olm
-
Tìm X Thuộc Z, để Giá Trị Phân Số Sau Thuộc N - Selfomy Hỏi Đáp
-
Tìm N Thuộc N để A=(2n+5)/(3n+1) Có Giá Trị Là Số Tự Nhiên
-
Tìm Giá Trị X Nguyên để A Nhận Giá Trị Nguyên
-
Tìm X Thuộc Z để Biểu Thức Nhận Giá Trị Nguyên. Toán Nâng Cao Lớp 6,7