Dãy Số Viết Theo Quy Luật Toán Lớp 6 - Chuyên đề
Có thể bạn quan tâm
Nâng cấp gói Pro để trải nghiệm website VnDoc.com KHÔNG quảng cáo, và tải file cực nhanh không chờ đợi.
Tìm hiểu thêm » Mua ngay Từ 79.000đ Hỗ trợ ZaloDãy số viết theo quy luật Toán lớp 6
Chuyên đề - Dãy số viết theo quy luật là tài liệu bôi dưỡng học sinh giỏi Toán 6 theo chuyên đề. Tài liệu này đưa ra các phương pháp giải bài toán dãy số viết theo quy luật, có kèm theo các ví dụ cụ thể và các bài tự luyện, giúp các em củng cố và nâng cao kiến thức hiệu quả. Chúc các em học tốt.
55 bài tập Toán lớp 6 – Ôn tập phần Số học
100 Bài tập ôn tập và hệ thống kiến thức môn Toán lớp 6
CHUYÊN ĐỀ TOÁN 6 (BD HSG)DÃY SỐ VIẾT THEO QUI LUẬT
I. Phương pháp dự đoán và quy nạp:
Trong một số trường hợp khi gặp bài toán tính tổng hữu hạn
Sn = a1 + a2 + .... an (1)
Bằng cách nào đó ta biết được kết quả (dự đoán, hoặc bài toán chứng minh khi đã cho biết kết quả). Thì ta nên sử dụng phương pháp này và hầu như thế nào cũng chứng minh được.
Ví dụ 1: Tính tổng Sn = 1 + 3 + 5 +... + (2n -1)
Thử trực tiếp ta thấy: S1 = 1
S2 = 1 + 3 = 22
S3 = 1+ 3 + 5 = 9 = 32
... ... ...
Ta dự đoán Sn = n2
Với n = 1; 2; 3 ta thấy kết quả đúng
Giả sử với n = k (k ≥ 1) ta có Sk = k2 (2)
Ta cần phải chứng minh Sk + 1 = (k +1)2 (3)
Thật vậy cộng 2 vế của (2) với 2k +1 ta có
1 + 3 + 5 +... + (2k – 1) + ( 2k +1) = k2 + (2k +1)
Vì k2 + (2k +1) = (k +1)2 nên ta có (3) tức là Sk+1 = ( k +1)2
Theo nguyên lý quy nạp bài toán được chứng minh
Vậy Sn = 1 + 3 + 5 + ... + (2n -1) = n2
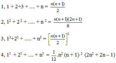
Tương tự ta có thể chứng minh các kết quả sau đây bằng phương pháp quy nạp toán học.

II. Phương pháp khử liên tiếp:
Giả sử ta cần tính tổng (1) mà ta có thể biểu diễn ai, i = 1, 2, 3..., n, qua hiệu hai số hạng liên tiếp của 1 dãy số khác, chính xác hơn, giả sử:
a1 = b1 - b2
a2 = b2 - b3
.... .... .....
an = bn – bn+ 1
Khi đó ta có ngay:
Sn = (b1 – b2) + (b2 – b3) + ...... + (bn – bn + 1) = b1 – bn + 1
Ví dụ 2: Tính tổng:
![]()
Ta có:
![]()
Do đó:

Dạng tổng quát:

Từ khóa » Các Bài Toán Về Dãy Số Lớp 6
-
Các Dạng Toán Tính Tổng Dãy Số Lũy Thừa Có Quy Luật Và Bài Tập
-
Chuyên đề Toán 6 (BD HSG): Dãy Số Viết Theo Quy Luật
-
Bài Toán Tính Tổng Của Dãy Số Có Quy Luật Cách ...
-
Các Dạng Toán Tính Tổng Dãy Số Lũy Thừa Có Quy Luật - Abcdonline
-
Chuyên đề Số Và Dãy Số Lớp 6
-
Thực Hành Giải Bài Toán Tính Tổng Dãy Số Có Quy Luật, Toán Lớp 6
-
Toán Nâng Cao Lớp 6 > CHUYÊN ĐỀ DÃY SỐ CÓ QUY LUẬT - MathX
-
Toán Lớp 6 Nâng Cao - CĐ Dãy Số Tự Nhiên Viết Theo Quy Luật Archives
-
Tính Tổng Dãy Số Lũy Thừa Có Quy Luật - Học Toán 123
-
Tính Tổng Dãy Số Có Quy Luật Lớp 6 - 123doc
-
Các Dạng Toán Về Dãy Số Viết Theo Quy Luật - 123doc
-
Một Số Dạng Toán Về Dãy Số Viết Theo Quy Luật ( Phần 1) - Vinastudy
-
Dãy Số Có Quy Luật - Toán 6- Cô Bùi Thanh Bình - HOCMAI - YouTube
-
Chuyên đề Dãy Số Viết Theo Quy Luật - Tài Liệu ôn Tập Học Sinh Giỏi ...