U1 = 1 Và Un + 1 = 5un + 8 Với Mọi N ≥ 1 Chứng Minh Rằng Dãy Số ...
Có thể bạn quan tâm


Tìm kiếm với hình ảnh
Vui lòng chỉ chọn một câu hỏi
Tìm đáp án
Đăng nhập- |
- Đăng ký


Hoidap247.com Nhanh chóng, chính xác
Hãy đăng nhập hoặc tạo tài khoản miễn phí!
Đăng nhậpĐăng ký

Lưu vào
+
Danh mục mới


- anhday248

- Chưa có nhóm
- Trả lời
0
- Điểm
15
- Cảm ơn
0
- Toán Học
- Lớp 12
- 60 điểm
- anhday248 - 20:15:54 30/04/2021
- Hỏi chi tiết
Báo vi phạm
Hãy luôn nhớ cảm ơn và vote 5* nếu câu trả lời hữu ích nhé!
TRẢ LỜI
- kimnguunguyen

- Chưa có nhóm
- Trả lời
4920
- Điểm
77615
- Cảm ơn
6107
- kimnguunguyen
- 30/04/2021

Đây là câu trả lời đã được xác thực
Câu trả lời được xác thực chứa thông tin chính xác và đáng tin cậy, được xác nhận hoặc trả lời bởi các chuyên gia, giáo viên hàng đầu của chúng tôi.
Đáp án:
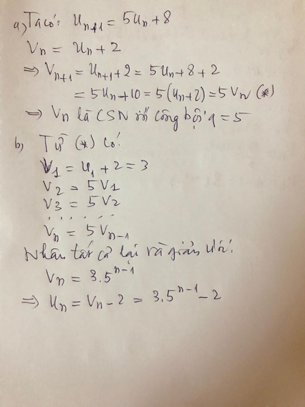
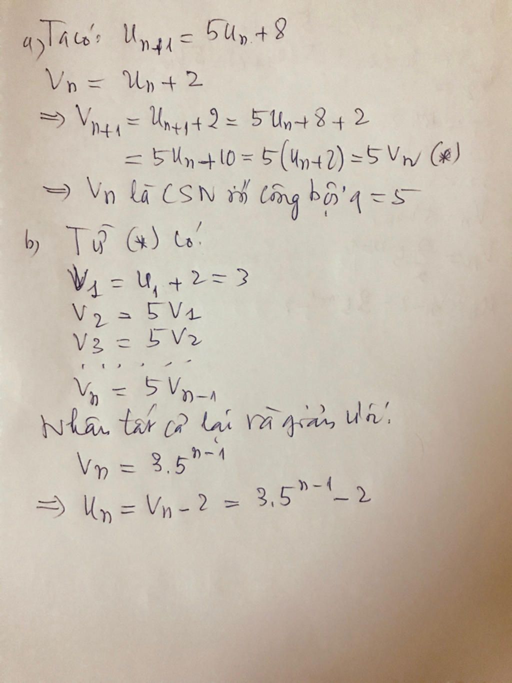
$v_{n} = u_{n} + 2$ là $CSN$ với $v_{1} = 3;q = 5$$u_{n} = 3.5^{n - 1} - 2$
Giải thích các bước giải:

Hãy giúp mọi người biết câu trả lời này thế nào?
starstarstarstarstarstarstarstarstarstarstarstarstarstarstarstarstarstarstarstarstarstarstarstarstarstarstarstarstarstarstarstarstarstarstarGửiHủy
Cảm ơn


- nguyennhattranganh

- Chưa có nhóm
- Trả lời
490
- Điểm
3563
- Cảm ơn
296
Câu c thui anh https://hoidap247.com/cau-hoi/1861885
- nguyennhattranganh


- nguyennhattranganh

- Chưa có nhóm
- Trả lời
490
- Điểm
3563
- Cảm ơn
296
Huhu
- nguyennhattranganh


- nguyennhattranganh

- Chưa có nhóm
- Trả lời
490
- Điểm
3563
- Cảm ơn
296
Câu c thui
- nguyennhattranganh


- viethoang123

- Chưa có nhóm
- Trả lời
13
- Điểm
294
- Cảm ơn
3
- viethoang123
- 02/05/2021

Un+1=5Un+8−−−>Un=5Un−1+8Un+1=5Un+8−−−>Un=5Un−1+8vn=un+2−−−>vn−1=un−1+2vn=un+2−−−>vn−1=un−1+2TA CÓ :Vn=Un+2=5Un−1+8+2=5Un−1+10=5.(Un−1+2)=5Vn−1Vn=Un+2=5Un−1+8+2=5Un−1+10=5.(Un−1+2)=5Vn−1--->là 1 csn có q=5v1=u1+2=3v1=u1+2=3Sn=v1.1−5n1−5=3(5n−1)4Sn=v1.1−5n1−5=3(5n−1)4b)v1=3vn=v1.(5n−1=3.5n−1vn=v1.(5n−1=3.5n−1(ko phải 5^n -1 đâu nhé mà là 5^(n-1)-->un =vn-2=3.5^n-1 -2
Hãy giúp mọi người biết câu trả lời này thế nào?
starstarstarstarstarstarstarstarstarstarstarstarstarstarstarstarstarstarstarstarstarstarstarstarstarstarstarstarstarstarstarstarstarstarstarGửiHủy
Cảm ơn
Báo vi phạm
Bạn muốn hỏi điều gì?
Group 2K8 ôn Thi ĐGNL & ĐGTD Miễn Phí

Bảng tin
Bạn muốn hỏi điều gì?
Lý do báo cáo vi phạm?
Gửi yêu cầu Hủy

Cơ quan chủ quản: Công ty Cổ phần Công nghệ Giáo dục Thành Phát
Tải ứng dụng


- Hướng dẫn sử dụng
- Điều khoản sử dụng
- Nội quy hoidap247
- Góp ý
Inbox: m.me/hoidap247online
Trụ sở: Tầng 7, Tòa Intracom, số 82 Dịch Vọng Hậu, Cầu Giấy, Hà Nội.
Từ khóa » Một Dãy Số được Xác định Bởi U1 = −4 Và Un = − 1 2 Un−1 N ≥ 2. Số Hạng Tổng Quát Un Của Dãy Số đó Là
-
Một Dãy Số được Xác định Bởi ${u1}=-4$ Và ${un}=- \frac{1}{2} {u{n
-
Cho Dãy Số Un Xác định Bởi U1=2 U(n+1)=1/3(un+1).Tìm Số Hạng U4...
-
Cho Dãy Số (un) Xác định Bởi: U1 = 1; U N+1 = Un + N^2, N Lớn...
-
Cho Dãy Số (un) được Xác định Bởi U1 = 2; \({u_n} = 2{u_{n - HOC247
-
Xác định Số Hạng Tổng Quát Của Dãy Số - Tài Liệu Text - 123doc
-
Xác định Số Hạng Tổng Quát Của Dãy Số - Tài Liệu Text - 123doc
-
N∈n∗.tìm Số Hạng Tổng Quát Của Dãy Số (un)
-
Cho Dãy Số(un) được Xác định Như Sau:{u1=2un+1+4un=4−5n (n ...
-
[PDF] Chuyên ðề Dãy Số (bdhsg) - Diễn đàn Toán Học
-
Câu 16 Trang 109 Đại Số Và Giải Tích 11 Nâng Cao, Cho Dãy Số (un ...
-
Biết Rằng Dãy Số (un) Thỏa Mãn Un Un+1 , ∀n ∈ N∗ Mệnh đề Nào ...
-
Cho Dãy Số (un) Xác định Bởi: U1=2–√ Và Un+1=2+un
-
Cách Tìm Công Thức Của Số Hạng Tổng Quát Cực Hay Có Lời Giải
-
Cách Tìm Công Thức Của Số Hạng Tổng Quát Cực Hay Có Lời Giải